精英家教网 > 高中物理 > 题目详情
真空中有两个静止的点电荷.若保持它们的电荷量不变,而把它们之间的距离变为原来的2倍,则两电荷间的库仑力将变为原来的( )
A.
B.
C.
D.
【答案】分析:本题考查了应用库仑定律公式解题能力,对题目中叙述的两种状态分别依据库仑定律公式列方程,即可求解结果.
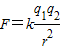
解答:解:开始时根据库仑定律得:     ①
当电荷间距离变为2倍后有:    ②
联立①②得:,故ACD错误,B正确.
故选B.
点评:对于库仑定律公式涉及物理量较多,要明确公式中各个物理量的含义,可以和万有引力公式对比理解.
练习册系列答案
相关习题

科目:高中物理 来源: 题型:

在真空中有两个静止的带正电的点电荷QA和QB,QA=q,QB=14q,静电力常量为k,QA和QB相距为3r,求
(1)它们之间相互作用的静电力是多大?
(2)在QA和QB之间的连线上,相距QA为r,相距QB为2r的O点的场强是多大,方向如何?

查看答案和解析>>

科目:高中物理 来源: 题型:

如图所示,真空中有两个静止点电荷,Q=+2×10-4C,q=-2×10-5C,它们相距r=2m,求:
(1)q受的电场力.
(2)q所在的B点的场强EB
(3)只将q换为q′=4×10-5C的正点电荷.再求q′受的电场力及B点的场强.
(4)将电荷q拿去后再求B点场强.

查看答案和解析>>

科目:高中物理 来源:不详 题型:问答题

如图所示,真空中有两个静止点电荷,Q=+2×10-4C,q=-2×10-5C,它们相距r=2m,求:
(1)q受的电场力.
(2)q所在的B点的场强EB
(3)只将q换为q′=4×10-5C的正点电荷.再求q′受的电场力及B点的场强.
(4)将电荷q拿去后再求B点场强.
精英家教网

查看答案和解析>>

科目:高中物理 来源: 题型:

 如图所示,真空中有两个静止点电荷,Q= +2×10-4C,q=-2×10-5C,它们相距r=2m,求:

  (1) q受的电场力.

  (2) q所在的B点的场强EB

  (3)只将q换为q′=4×10-5C的正点电荷.再求q′受的电场力及B点的场强.

  (4)将电荷q拿去后再求B点场强.

 

 

 

 

 

 

查看答案和解析>>

科目:高中物理 来源:(新课标)2009-2010学年度高一下学期物理单元测试3-电场 题型:计算题

 如图所示,真空中有两个静止点电荷,Q= +2×10-4C,q=-2×10-5C,它们相距r=2m,求:

   (1) q受的电场力.

   (2) q所在的B点的场强EB

   (3)只将q换为q′=4×10-5C的正点电荷.再求q′受的电场力及B点的场强.

   (4)将电荷q拿去后再求B点场强.

 

 

 

 

 

 

查看答案和解析>>

同步练习册答案