精英家教网 > 高中物理 > 题目详情

如图所示,A B C是光滑轨道,其中BC部分是半径为R的竖直放置的半圆.一质量为M的小木块放在轨道水平部分,木块被水平飞来的质量为m的子弹射中,并滞留在木块中.若被击中的木块沿轨道能滑到最高点C,已知木块对C点的压力大小为(M+m)g,求:子弹射入木块前瞬间速度的大小.

练习册系列答案
相关习题

科目:高中物理 来源: 题型:


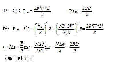
如图所示,是“用DIS探究回路中感应电动势大小与磁通量变化快慢的关系”实验的装置图,实验时让小车以不同的速度靠近螺线管,得到在不同Dt内的感应电动势的平均值E,重复上述步骤可得一组Dt和E值,点击软件界面,屏幕出现E-________图线,实验中因磁铁相对螺线管位置的变化相同,各次实验螺线管中的磁通量的变化量都相同,可见感应电动势E和_______成正比关系。

查看答案和解析>>

科目:高中物理 来源: 题型:


如图所示,一簇电场线的分布关于y轴对称,O是坐标原点,M、N、P、Q是以O为圆心的一个圆周上的四个点,其中M、N在y轴上,Q点在x轴上,则

A.M点的电势比P点的电势高

B.O、M间的电势差等于N、O间的电势差

C.一正电荷在O点时的电势能小于在Q点时的电势能

D.将一负电荷由M点移到P点,电场力做正功

查看答案和解析>>

科目:高中物理 来源: 题型:


氢原子辐射出一个光子后,根据玻尔理论,下述说法中正确的是:(    )

A.电子绕核旋转的半径增大       B.氢原子的能量增大

C.氢原子的电势能增大           D.氢原子核外电子的速率增大

查看答案和解析>>

科目:高中物理 来源: 题型:


物体沿一直线运动,在t时间内通过的路程为s,它在中间位 置处的速度为v1,在中间时刻的速度为v2,则v1和v2的关系为(       )

A.当物体做匀加速直线运动时,v1>v2        B.当物体做匀减速直线运动时,v1<v2

C.当物体做匀速直线运动时,v1=v2           D.当物体做匀加速直线运动时,v1<v2

查看答案和解析>>

科目:高中物理 来源: 题型:


已知能使某金属产生光电效应的极限频率为ν0 ,则(  )

A.当用频率为2ν0的单色光照射该金属时,一定能产生光电子

B.当用频率为2ν0的单色光照射该金属时,所产生的光电子的最大初动能为hν0

C.当照射光的频率ν大于ν0时,若ν增大,则逸出功增大

D.当照射光的频率ν大于ν0时,若ν增大一倍,则光电子的最大初动能也增大一倍

查看答案和解析>>

科目:高中物理 来源: 题型:


如图,K-介子衰变的方程为,其中K-介子和π-介子带负的基元电荷,π0介子不带电。一个K-介子沿垂直于磁场的方向射入匀强磁场中,其轨迹为圆弧AP,衰变后产生的π-介子的轨迹为圆弧PB,两轨迹在P点相切,它们的半径RK-Rπ-之比为2∶1。π0介子的轨迹未画出。由此可知π-介子的动量大小与π0介子的动量大小之比为( )

A.1∶1 B.1∶2

C.1∶3 D.1∶6

查看答案和解析>>

科目:高中物理 来源: 题型:


有一种测量压力的电子秤,其原理图如图6-2-16所示.E是内阻不计、电动势为6 V的电源.R0是一个阻值为300 Ω的限流电阻.G是由理想电流表改装成的指针式测力显示器.R是一个压敏电阻,其阻值可随压力大小变化而改变,其关系如下表所示.C是一个用来保护显示器的电容器.秤台的重力忽略不计.试分析:

图6-2-16

压力F/N

0

50

100

150

200

250

300

电阻R

300

280

260

240

220

200

180

(1)利用表中的数据写出电阻R随压力F变化的函数式.

(2)若电容器的耐压值为5 V,该电子秤的最大称量值为多少?

(3)如果把电流表中电流的刻度变换成压力刻度,则该测力显示器的刻度是否均匀?

查看答案和解析>>

科目:高中物理 来源: 题型:


做下列运动的物体,能当做质点处理的是( )

A.自转中的地球

B.旋转中的风力发电机叶片

C.在冰面上旋转的花样滑冰运动员

D.匀速直线运动的火车

查看答案和解析>>

同步练习册答案