精英家教网 > 高中物理 > 题目详情
一个物体静置于光滑水平面上,外面扣一质量为M的盒子,如图甲所示。现给盒子一初速度v0,此后,盒子运动的v-t图像呈周期性变化,如图乙所示。请据此求盒内物体的质量。
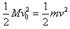
解:设物体的质量为m,t0时刻受盒子碰撞获得速度v,根据动量守恒定律Mv0=mv ①
3t0时刻物体与盒子右壁碰撞使盒子速度又变为v0,说明碰撞是弹性碰撞,
联立①②解得m=M ③
练习册系列答案
相关习题

同步练习册答案