精英家教网 > 高中物理 > 题目详情
一小型发电机通过升压、降压变压器把电能输送给用户,已知发电机的输出功率为为50kW,输出电压为500V,升压变压器原、副线圈匝数比为1:5,两个变压器间的输电导线的总电阻为15Ω,降压变压器的输出电压为220V,变压器本身的损耗忽略不计,在输电过程中电抗造成电压的损失不计,求:
(1)升压变压器副线圈的端电压;
(2)输电线上损耗的电功率;
(3)降压变压器原、副线圈的匝数比。
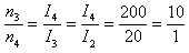
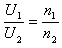
解:(1)因为,所以=2 500 V
(2)P2=P1=50 kW
输电线中电流

(3)用户得到功率P4=P1=44 000 W
所以降压变压器副线圈电流
练习册系列答案
相关习题

科目:高中物理 来源: 题型:

一小型发电机通过升压、降压变压器把电能输送给某大学,已知发电机的输出功率为为50kW,输出电压为500V,升压变压器原、副线圈匝数比为1:5,两个变压器间的输电导线的总电阻为15Ω,降压变压器的输出电压为220V,变压器本身的损耗忽略不计,在输电过程中电抗造成电压的损失不计,求:

(1)升压变压器副线圈的端电压;
(2)输电线上损耗的电功率;
(3)降压变压器原、副线圈的匝数比
(4)大学全校都是安装了“220V  40W”的电灯,问此时共有多少盏电灯亮?

查看答案和解析>>

科目:高中物理 来源: 题型:

一小型发电机通过升压、降压变压器把电能输送给用户,已知发电机的输出功率为为50kW,输出电压为500V,升压变压器原、副线圈匝数比为1:5,两个变压器间的输电导线的总电阻为15Ω,降压变压器的输出电压为220V,变压器本身的损耗忽略不计,在输电过程中电抗造成电压的损失不计,求:
(1)升压变压器副线圈的端电压;
(2)输电线上损耗的电功率;
(3)降压变压器原、副线圈的匝数比.

查看答案和解析>>

科目:高中物理 来源: 题型:

一小型发电机通过升压、降压变压器把电能输送给用户,已知发电机的输出功率为为50 Kw,输出电压为500 V,升压变压器原、副线圈匝数比为1:5,两个变压器间的输电导线的总电阻为15 Ω,降压变压器的输出电压为220 V,变压器本身的损耗忽略不计,在输电过程中感抗和容抗造成电压的损失不计,求:

(1)升压变压器副线圈的端电压;

(2)输电线上损耗的电功率;

(3)降压变压器原、副线圈的匝数比。

查看答案和解析>>

科目:高中物理 来源: 题型:

(12分)一小型发电机通过升压、降压变压器把电能输送给用户,已知发电机的输出功率为为50 Kw,输出电压为500 V,升压变压器原、副线圈匝数比为1:5,两个变压器间的输电导线的总电阻为15 Ω,降压变压器的输出电压为220 V,变压器本身的损耗忽略不计,在输电过程中感抗和容抗造成电压的损失不计,求:

(1)升压变压器副线圈的端电压;

(2)输电线上损耗的电功率;

(3)降压变压器原、副线圈的匝数比。

 

查看答案和解析>>

科目:高中物理 来源:重庆市2009-2010学年高二下学期质量检测物理试题 题型:计算题

(12分)一小型发电机通过升压、降压变压器把电能输送给用户,已知发电机的输出功率为为50 Kw,输出电压为500 V,升压变压器原、副线圈匝数比为1:5,两个变压器间的输电导线的总电阻为15 Ω,降压变压器的输出电压为220 V,变压器本身的损耗忽略不计,在输电过程中感抗和容抗造成电压的损失不计,求:

(1)升压变压器副线圈的端电压;

(2)输电线上损耗的电功率;

(3)降压变压器原、副线圈的匝数比。

 

查看答案和解析>>

同步练习册答案