精英家教网 > 高中物理 > 题目详情
如图所示,图甲是杭州儿童乐园中的过山车的实物图片,图乙是过山车的原理图。在原理图中,半径分别为R1=2.0m和R2=8.0m的两个光滑圆形轨道固定在倾角为=37°斜轨道面上的Q、Z两点,且两圆形轨道的最高点A、B均与P点平齐,圆形轨道与斜轨道之间圆滑连接。现使质量m=20kg的小车(视作质点)从P点以一定的初速度沿斜轨道向下运动。已知斜轨道面与小车间的动摩擦因数为μ=,g=10m/s2,sin 37°=0.6,cos 37°=0.8。问:
(1)若小车能通过A、B两点,则小车在P点的初速度满足什么条件?
(2)若小车恰好能通过第二个圆形轨道的最高点B,则小车通过第一个圆形轨道最低点时,对轨道的压力大小是多少?

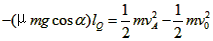
解:(1)在B有:
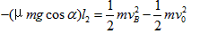
P点到B点的过程,由动能定理得:
其中,l2为PZ之间的距离,根据几何关系可知满足:

解得:m∕s 即小车在P点初速度满足的条件为vp
(2)通过(1)问中的解可知,小车恰好能通过第二个圆形轨道的最高点B时,小车在P点初速度为m∕s 。
P点到A点的过程,由动能定理得:
lQ为PQ之间的距离,根据几何关系可知满足:

 设小车通过第一个圆形轨道最低点时的速度vc,由机械能守恒定律得:mvA2+2mgR1=m
由牛顿定律得:FN-mg=
解得:FN=1920N
根据牛顿第三定律可得压力为1920N。

练习册系列答案
相关习题

科目:高中物理 来源: 题型:

为了使公路交通有序、安全,路旁立了许多交通标志.如图所示,甲图是限速标志(白底、红圈、黑字),表示允许行驶的最大速度是80km/h;乙图是路线指示标志,表示到杭州还有100km.上述两个数据的物理意义是(  )

查看答案和解析>>

科目:高中物理 来源:2012-2013学年浙江省湖州市南浔中学高一上学期期中考试物理试卷(带解析) 题型:单选题

为了使公路交通有序、安全,路旁立了许多交通标志.如图所示,甲图是限速标志(白底、红圈、黑字),表示允许行驶的最大速度是80 km/h;乙图是路线指示标志,表示到杭州还有100 km.上述两个数据的物理意义是(   )

A.80 km/h是瞬时速度,100 km是位移
B.80 km/h是瞬时速度,100 km是路程
C.80 km/h是平均速度,100 km是位移
D.80 km/h是平均速度,100 km是路程

查看答案和解析>>

科目:高中物理 来源:2015届浙江省湖州市高一上学期期中考试物理试卷(解析版) 题型:选择题

为了使公路交通有序、安全,路旁立了许多交通标志.如图所示,甲图是限速标志(白底、红圈、黑字),表示允许行驶的最大速度是80 km/h;乙图是路线指示标志,表示到杭州还有100 km.上述两个数据的物理意义是(    )

A.80 km/h是瞬时速度,100 km是位移

B.80 km/h是瞬时速度,100 km是路程

C.80 km/h是平均速度,100 km是位移

D. 80 km/h是平均速度,100 km是路程

 

查看答案和解析>>

科目:高中物理 来源:2011年龙湾中学高一10月份月考物理卷 题型:选择题

为了使公路交通有序、安全,路旁立了许多交通标志。如图所示,甲图是限速标志(白底、红圈、黑字),表示允许行驶的最大速度是80 km/h;乙图是路线指示标志,表示到杭州还有l0km。上述两个数据的物理意义是  (   )

                                     

A.80 km/h是平均速度,l00km是位移

B.80 km/h是平均速度,100 km是路程

C.80 km/h是瞬时速度,100 km是位移

D.80 km/h是瞬时速度,100 km是路程

 

查看答案和解析>>

同步练习册答案