ÔØÁ÷³¤Ö±µ¼ÏßÖÜΧ´Å³¡µÄ´Å¸ÐӦǿ¶È´óСÓëÖ±µ¼ÏßÖеçÁ÷³ÉÕý±È£¬Óë¾àµ¼ÏߵľàÀë³É·´±È¡£¾ØÐÎÏßȦabcdͨÒÔÄæÊ±Õë·½ÏòµÄºã¶¨µçÁ÷£¬ÓÃÁ½¸ùÇáÖʾøÔµÏ¸Ïß¹ÒÔÚˮƽ³¤Ö±µ¼ÏßMNÕýÏ·½£¬ÈçͼËùʾ¡£¿ªÊ¼Ê±MNÄÚ²»Í¨µçÁ÷£¬´ËʱÁ½Ï¸ÏßÄÚµÄÕÅÁ¦¾ùΪ£¬µ±MNÖÐͨ¹ýµÄµçÁ÷Ϊʱ£¬Á½Ï¸ÏßÄÚµÄÕÅÁ¦¾ù¼õСΪ£¬ÖØÁ¦¼ÓËÙ¶ÈΪ£¬ÏÂÁÐÅжÏÕýÈ·µÄÓУº£¨     £©

A. MNÖÐͨ¹ýµÄµçÁ÷·½ÏòˮƽÏò×ó

B.µ±MNÄÚµçÁ÷±äΪʱ£¬Á½Ï¸ÏßÄÚµÄÕÅÁ¦¾ùΪÁã

C.µ±MNÄڵĵçÁ÷±äΪ Ê±£¬ÏßȦµÄ˲ʱ¼ÓËÙ¶È´óСΪg£¬·½ÏòÊúÖ±ÏòÉÏ

D.¼ô¶ÏϸÏߺ󣬾ØÐÎÏßȦÏÂÂäµÄ¼ÓËÙ¶ÈÔ½À´Ô½Ð¡

 

¡¾´ð°¸¡¿

AB

¡¾½âÎö¡¿

ÊÔÌâ·ÖÎö£ºµ±MNͨÒÔÇ¿¶ÈΪµÄµçÁ÷ʱ£¬Á½Ï¸ÏßÄÚµÄÕÅÁ¦¾ù¼õСΪ£¬Öª´ËʱÏß¿òËùÊܰ²ÅàÁ¦ºÏÁ¦·½ÏòÊúÖ±ÏòÉÏ£¬Ôòab±ßËùÊܵݲÅàÁ¦µÄÏòÉÏ£¬cd±ßËùÊܰ²ÅàÁ¦·½ÏòÏòÏ£¬ÖªÖ±µ¼ÏßÔÚabcd´¦µÄ´Å³¡·½Ïò´¹Ö±Ö½ÃæÏòÍ⣬Ôò·½ÏòÏò×ó£¬Ñ¡ÏîAÕýÈ·£®ÉèabcdͨÈëµçÁ÷´óСΪi£¬Ëù´¦µÄ´Å¸ÐӦǿ¶ÈΪ£¨Ê½Öг£Á¿k£¾0£¬IΪMNÖеĵçÁ÷£¬rΪ¾àMNµ¼ÏߵľàÀ룩£¬ab¾àMNΪ£¬cd¾àMNΪ¡£MNÖв»Í¨µçʱ£¬ÓУº£»Í¨µçÁ÷Iºó£¬abcdËùÊܰ²ÅàÁ¦£¬£»Í¨µçÁ÷ʱ£¬£¬ÇÒ£¬ÁªÁ¢½âµÃ£¬¼´£¬¹ÊÑ¡ÏîBÕýÈ·¡£Ö»Óе±Í¨µçʱ£¬£¬ÓÉÅ£¶ÙµÚ¶þ¶¨ÂÉ£¬½âµÃ£º£¬·½ÏòÊúÖ±ÏòÉÏ£¬¹ÊÑ¡ÏîC´íÎó¡£¼ô¶ÏϸÏߺó£¬Ïß¿òÊÜÖØÁ¦ºÍ°²ÅàÁ¦ÏòϼÓËÙ£¬µ«Ïß¿òÀëMNÔ½À´Ô½Ô¶£¬°²ÅàÁ¦¼õС£¬¹ÊºÏÍâÁ¦Ôö´ó£¬¼ÓËÙ¶ÈÔ½À´Ô½´ó£¬£»¹ÊÑ¡ÏîD´íÎó¡£

¿¼µã£º±¾Ì⿼²éÁËÁ¦µÄƽºâ¡¢Å£¶ÙµÚ¶þ¶¨ÂÉ¡¢×óÊÖ¶¨Ôò¡¢ÓÒÊÖÂÝÐý¶¨Ôò¡¢Àã´Î¶¨ÂÉ¡£

 

Á·Ï°²áϵÁдð°¸
Ïà¹ØÏ°Ìâ

¿ÆÄ¿£º¸ßÖÐÎïÀí À´Ô´£º ÌâÐÍ£º

£¨2012?ÉϺ££©ÔØÁ÷³¤Ö±µ¼ÏßÖÜΧ´Å³¡µÄ´Å¸ÐӦǿ¶È´óСΪB=
kIr
£¬Ê½Öг£Á¿k£¾0£¬IΪµçÁ÷Ç¿¶È£¬rΪ¾àµ¼ÏߵľàÀ룮ÔÚˮƽ³¤Ö±µ¼ÏßMNÕýÏ·½£¬¾ØÐÎÏßȦabcdͨÒÔÄæÊ±Õë·½ÏòµÄºã¶¨µçÁ÷i£¬±»Á½¸ùÇáÖʾøÔµÏ¸Ïß¾²Ö¹µØÐü¹Ò£¬ÈçͼËùʾ£®¿ªÊ¼Ê±MNÄÚ²»Í¨µçÁ÷£¬´ËʱÁ½Ï¸ÏßÄÚµÄÕÅÁ¦¾ùΪT0£®µ±MNͨÒÔÇ¿¶ÈΪI1µÄµçÁ÷ʱ£¬Á½Ï¸ÏßÄÚµÄÕÅÁ¦¾ù¼õСΪT1£¬µ±MNÄÚµçÁ÷Ç¿¶È±äΪI2ʱ£¬Á½Ï¸ÏßÄÚµÄÕÅÁ¦¾ù´óÓÚT0£®
£¨1£©·Ö±ðÖ¸³öÇ¿¶ÈΪI1¡¢I2µÄµçÁ÷µÄ·½Ïò
£¨2£©ÇóMN·Ö±ðͨÒÔÇ¿¶ÈΪI1¡¢I2µÄµçÁ÷ʱ£¬Ïß¿òÊܵ½µÄ°²ÅàÁ¦F1ÓëF2´óС֮±È
£¨3£©µ±MNÄڵĵçÁ÷Ç¿¶ÈΪI3ʱÁ½Ï¸ÏßÇ¡ºÃ¶ÏÁÑ£¬ÔÚ´Ë˲¼äÏßȦµÄ¼ÓËÙ¶È´óСΪa£¬ÊÔÇóI3£®

²é¿´´ð°¸ºÍ½âÎö>>

¿ÆÄ¿£º¸ßÖÐÎïÀí À´Ô´£º ÌâÐÍ£º

¾«Ó¢¼Ò½ÌÍøÔØÁ÷³¤Ö±µ¼ÏßÖÜΧ´Å³¡µÄ´Å¸ÐӦǿ¶È´óСÓëÖ±µ¼ÏßÖеçÁ÷Ç¿¶È³ÉÕý±È£¬Óë¾àµ¼ÏߵľàÀë³É·´±È£®¾ØÐÎÏßȦabcdͨÒÔÄæÊ±Õë·½ÏòµÄºã¶¨µçÁ÷£¬ÓÃÁ½¸ùÇáÖʾøÔµÏ¸Ïß¹ÒÔÚˮƽ³¤Ö±µ¼ÏßMNÕýÏ·½£¬ÈçͼËùʾ£®¿ªÊ¼Ê±MNÄÚ²»Í¨µçÁ÷£¬´ËʱÁ½Ï¸ÏßÄÚµÄÕÅÁ¦¾ùΪT0£®µ±MNÖÐͨ¹ýµÄµçÁ÷Ç¿¶ÈΪIʱ£¬Á½Ï¸ÏßÄÚµÄÕÅÁ¦¾ù¼õСΪT£®ÖØÁ¦¼ÓËÙ¶ÈΪg£¬ÏÂÁÐÅжÏÕýÈ·µÄÓУ¨¡¡¡¡£©
A¡¢MNÖÐͨ¹ýµÄµçÁ÷·½ÏòˮƽÏòÓÒ
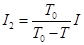
B¡¢µ±MNÄÚµçÁ÷Ç¿¶È±äΪ
T0
T0-T
I
ʱ£¬Á½Ï¸ÏßÄÚµÄÕÅÁ¦¾ùΪÁã
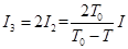
C¡¢µ±MNÄڵĵçÁ÷Ç¿¶È±äΪ
2T0
T
I
ʱ£¬ÏßȦµÄ˲ʱ¼ÓËÙ¶È´óСΪg£¬·½ÏòÊúÖ±ÏòÉÏ
D¡¢¼ô¶ÏϸÏߺ󣬾ØÐÎÏßȦÏÂÂäµÄ¼ÓËÙ¶ÈÔ½À´Ô½Ð¡

²é¿´´ð°¸ºÍ½âÎö>>

¿ÆÄ¿£º¸ßÖÐÎïÀí À´Ô´£º ÌâÐÍ£º

ÔØÁ÷³¤Ö±µ¼ÏßÖÜΧ´Å³¡µÄ´Å¸ÐӦǿ¶È´óСΪB=kI/r£¬Ê½Öг£Á¿k>0£¬IΪµçÁ÷Ç¿¶È£¬rΪ¾àµ¼Ïߵļ´Àë¡£ÔÚˮƽ³¤Ö±µ¼ÏßMNÕýÏ·½£¬¾ØÐÎÏßȦabcdͨÒÔÄæÊ±Õë·½ÏòµÄºã¶¨µçÁ÷£¬±»Á½¸ùµÈ³¤µÄÇáÖʾøÔµÏ¸Ïß¾²Ö¹µØÐü¹Ò£¬ÈçͼËùʾ¡£¿ªÊ¼Ê±MNÄÚ²»Í¨µçÁ÷£¬´ËʱÁ½Ï¸ÏßÄÚµÄÕÅÁ¦¾ùΪT0¡£µ±MNͨÒÔÇ¿¶ÈΪI1µÄµçÁ÷ʱ£¬Á½Ï¸ÏßÄÚµÄÕÅÁ¦¾ù¼õСΪT1£ºµ±MNÄڵĵçÁ÷Ç¿¶È±äΪI2ʱ£¬Á½Ï¸ÏßµÄÕÅÁ¦¾ù´óÓÚT0¡££¨ÖØÁ¦¼ÓËÙ¶ÈÓÃg±íʾ£©

£¨2·Ö£©£¨1£©·Ö±ðÖ¸³öÇ¿¶ÈΪI1¡¢I2µÄµçÁ÷µÄ·½Ïò£»

£¨3·Ö£©£¨2£©ÇóMN·Ö±ðͨÒÔÇ¿¶ÈΪI1ºÍI2µçÁ÷ʱ£¬Ïß¿òÊܵ½µÄ°²ÅàÁ¦F1ÓëF2´óС֮±È£»

£¨6·Ö£©£¨3£©µ±MNÄڵĵçÁ÷Ç¿¶ÈΪI3ʱÁ½Ï¸ÏßÇ¡ºÃ¶ÏÁÑ£¬ÔÚ´Ë˲¼äÏßȦµÄ¼ÓËÙ¶È´óСΪa£¬ÇóI3¡£

²é¿´´ð°¸ºÍ½âÎö>>

¿ÆÄ¿£º¸ßÖÐÎïÀí À´Ô´£º2012ÄêÆÕͨ¸ßµÈѧУÕÐÉúÈ«¹úͳһ¿¼ÊÔÀí×ÛÎïÀí£¨ÉϺ£¾í´ø½âÎö£© ÌâÐÍ£º¼ÆËãÌâ

£¨13·Ö£©ÔØÁ÷³¤Ö±µ¼ÏßÖÜΧ´Å³¡µÄ´Å¸ÐӦǿ¶È´óСΪB=kI/r£¬Ê½Öг£Á¿k>0£¬IΪµçÁ÷Ç¿¶È£¬rΪ¾àµ¼Ïߵļ´Àë¡£ÔÚˮƽ³¤Ö±µ¼ÏßMNÕýÏ·½£¬¾ØÐÎÏßȦabcdͨÒÔÄæÊ±Õë·½ÏòµÄºã¶¨µçÁ÷£¬±»Á½¸ùµÈ³¤µÄÇáÖʾøÔµÏ¸Ïß¾²Ö¹µØÐü¹Ò£¬ÈçͼËùʾ¡£¿ªÊ¼Ê±MNÄÚ²»Í¨µçÁ÷£¬´ËʱÁ½Ï¸ÏßÄÚµÄÕÅÁ¦¾ùΪT0¡£µ±MNͨÒÔÇ¿¶ÈΪI1µÄµçÁ÷ʱ£¬Á½Ï¸ÏßÄÚµÄÕÅÁ¦¾ù¼õСΪT1£ºµ±MNÄڵĵçÁ÷Ç¿¶È±äΪI2ʱ£¬Á½Ï¸ÏßµÄÕÅÁ¦¾ù´óÓÚT0¡£

£¨1£©·Ö±ðÖ¸³öÇ¿¶ÈΪI1¡¢I2µÄµçÁ÷µÄ·½Ïò£»
£¨2£©ÇóMN·Ö±ðͨÒÔÇ¿¶ÈΪI1ºÍI2µçÁ÷ʱ£¬Ïß¿òÊܵ½µÄ°²ÅàÁ¦F1ÓëF2´óС֮±È£»
£¨3£©µ±MNÄڵĵçÁ÷Ç¿¶ÈΪI3ʱÁ½Ï¸ÏßÇ¡ºÃ¶ÏÁÑ£¬ÔÚ´Ë˲¼äÏßȦµÄ¼ÓËÙ¶È´óСΪa£¬ÇóI3¡£

²é¿´´ð°¸ºÍ½âÎö>>

¿ÆÄ¿£º¸ßÖÐÎïÀí À´Ô´£º2012ÄêÆÕͨ¸ßµÈѧУÕÐÉúÈ«¹úͳһ¿¼ÊÔÀí×ÛÎïÀí£¨ÉϺ£¾í½âÎö°æ£© ÌâÐÍ£º¼ÆËãÌâ

£¨13·Ö£©ÔØÁ÷³¤Ö±µ¼ÏßÖÜΧ´Å³¡µÄ´Å¸ÐӦǿ¶È´óСΪB=kI/r£¬Ê½Öг£Á¿k>0£¬IΪµçÁ÷Ç¿¶È£¬rΪ¾àµ¼Ïߵļ´Àë¡£ÔÚˮƽ³¤Ö±µ¼ÏßMNÕýÏ·½£¬¾ØÐÎÏßȦabcdͨÒÔÄæÊ±Õë·½ÏòµÄºã¶¨µçÁ÷£¬±»Á½¸ùµÈ³¤µÄÇáÖʾøÔµÏ¸Ïß¾²Ö¹µØÐü¹Ò£¬ÈçͼËùʾ¡£¿ªÊ¼Ê±MNÄÚ²»Í¨µçÁ÷£¬´ËʱÁ½Ï¸ÏßÄÚµÄÕÅÁ¦¾ùΪT0¡£µ±MNͨÒÔÇ¿¶ÈΪI1µÄµçÁ÷ʱ£¬Á½Ï¸ÏßÄÚµÄÕÅÁ¦¾ù¼õСΪT1£ºµ±MNÄڵĵçÁ÷Ç¿¶È±äΪI2ʱ£¬Á½Ï¸ÏßµÄÕÅÁ¦¾ù´óÓÚT0¡£

£¨1£©·Ö±ðÖ¸³öÇ¿¶ÈΪI1¡¢I2µÄµçÁ÷µÄ·½Ïò£»

£¨2£©ÇóMN·Ö±ðͨÒÔÇ¿¶ÈΪI1ºÍI2µçÁ÷ʱ£¬Ïß¿òÊܵ½µÄ°²ÅàÁ¦F1ÓëF2´óС֮±È£»

£¨3£©µ±MNÄڵĵçÁ÷Ç¿¶ÈΪI3ʱÁ½Ï¸ÏßÇ¡ºÃ¶ÏÁÑ£¬ÔÚ´Ë˲¼äÏßȦµÄ¼ÓËÙ¶È´óСΪa£¬ÇóI3¡£

 

²é¿´´ð°¸ºÍ½âÎö>>

ͬ²½Á·Ï°²á´ð°¸