ˮƽ·ÅÖÃµÄÆ½ÐнðÊô¿ò¼ÜL=0.2m,ÖÊÁ¿Îª0.1kgµÄ½ðÊô°ôab·ÅÔÚ¿ò¼ÜÉÏ£¬²¢ÇÒÓë¿ò¼ÜµÄÁ½¸ö±ß´¹Ö±¡£Õû¸ö×°Ö÷ÅÓÚ·½ÏòÊúÖ±ÏòÏ¡¢B=0.5TµÄÔÈÇ¿´Å³¡ÖУ¬ÈçͼËùʾ¡£½ðÊô°ôabÔÚF=2NµÄˮƽÏòÓҵĺãÁ¦×÷ÓÃÏÂÓɾ²Ö¹¿ªÊ¼Ô˶¯¡£µç·ÖгýÍ⣬ÆäËûµç×衢Ħ²Á×èÁ¦¾ù²»¿¼ÂÇ¡£Çó£º

¢Ù abËÙ¶ÈÊÇ5m/sʱ£¬°ôµÄ¼ÓËÙ¶ÈÊǶà´ó£¿

¢Ú µ±ab°ô´ïµ½×î´óËٶȺ󣬳·È¥ÍâÁ¦F´Ëºó¸ÐÓ¦µçÁ÷»¹ÄܲúÉú¶àÉÙÈÈÁ¿£¿

 

¡¾´ð°¸¡¿

£¨1£©£¨2£©

¡¾½âÎö¡¿

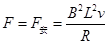
ÊÔÌâ·ÖÎö£º£¨1£©¸ù¾ÝÅ£¶ÙµÚ¶þ¶¨ÂɿɵãºÓɵÃ

   

£¨2£©µ±ab°ô´ïµ½×î´óËÙ¶ÈʱÓÐËùÒÔ£º

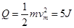
µ±ab°ô´ïµ½×î´óËٶȺ󣬳·È¥ÍâÁ¦F£¬´ËºóÎïÌåµÄ¶¯ÄÜÈ«ÓÃÀ´¿Ë·þ°²ÅàÁ¦×÷¹¦£¬ËùÒÔ¸ÐÓ¦µçÁ÷²úÉúµÄÈÈÁ¿Îª£º

¿¼µã£º¿¼²éÁËÅ£¶ÙµÚ¶þ¶¨ÂÉ£¬µ¼ÌåÇиî´Å¸ÐÏßÔ˶¯£¬ÄÜÁ¦Êغã

 

Á·Ï°²áϵÁдð°¸
Ïà¹ØÏ°Ìâ

¿ÆÄ¿£º¸ßÖÐÎïÀí À´Ô´£º ÌâÐÍ£º

£¨2008?ÖêÖÞÄ£Ä⣩ÔÚˮƽ×ÀÃæÉÏ£¬Ò»¸öÃæ»ýΪSµÄÔ²ÐνðÊô¿òÖÃÓÚÔÈÇ¿´Å³¡ÖУ¬Ïß¿òÆ½ÃæÓë´Å³¡´¹Ö±£¬´Å¸ÐӦǿ¶ÈB1ËæÊ±¼ätµÄ±ä»¯¹ØÏµÈçͼ£¨1£©Ëùʾ.0¡«1sÄڴų¡·½Ïò´¹Ö±Ïß¿òÆ½ÃæÏòÏ£®Ô²ÐνðÊô¿òÓëÒ»¸öˮƽµÄƽÐнðÊôµ¼¹ìÏàÁ¬½Ó£¬µ¼¹ìÉÏ·ÅÖÃÒ»¸ùµ¼Ìå°ô£¬µ¼Ìå°ôµÄ³¤ÎªL¡¢µç×èΪR£¬ÇÒÓëµ¼¹ì½Ó´¥Á¼ºÃ£¬µ¼Ìå°ô´¦ÓÚÁíÒ»ÔÈÇ¿´Å³¡ÖУ¬Æä´Å¸ÐӦǿ¶ÈºãΪB2£¬·½Ïò´¹Ö±µ¼¹ìÆ½ÃæÏòÏ£¬Èçͼ£¨2£©Ëùʾ£®Èôµ¼Ìå°ôʼÖÕ±£³Ö¾²Ö¹£¬ÔòÆäËùÊܵľ²Ä¦²ÁÁ¦fËæÊ±¼ä±ä»¯µÄͼÏóÊÇÏÂͼÖеģ¨ÉèÏòÓÒΪ¾²Ä¦²ÁÁ¦µÄÕý·½Ïò£©£¨¡¡¡¡£©

²é¿´´ð°¸ºÍ½âÎö>>

¿ÆÄ¿£º¸ßÖÐÎïÀí À´Ô´£º ÌâÐÍ£º

ÔÚˮƽ×ÀÃæÉÏ£¬Ò»¸öÔ²ÐνðÊô¿òÖÃÓÚÔÈÇ¿´Å³¡B1ÖУ¬Ïß¿òÆ½ÃæÓë´Å³¡´¹Ö±£¬Ô²ÐνðÊô¿òÓëÒ»¸öˮƽµÄƽÐнðÊôµ¼¹ìÏàÁ¬½Ó£¬µ¼¹ìÉÏ·ÅÖÃÒ»¸ùµ¼Ìå°ôab£¬µ¼Ìå°ôÓëµ¼¹ì½Ó´¥Á¼ºÃ£¬µ¼Ìå°ô´¦ÓÚÁíÒ»ÔÈÇ¿´Å³¡B2ÖУ¬¸Ã´Å³¡µÄ´Å¸ÐӦǿ¶Èºã¶¨£¬·½Ïò´¹Ö±µ¼¹ìÆ½ÃæÏòÏ£¬Èçͼ¼×Ëùʾ£®´Å¸ÐӦǿ¶ÈB1ËæÊ±¼ätµÄ±ä»¯¹ØÏµÈçͼÒÒËùʾ£®0¡«1.0sÄڴų¡·½Ïò´¹Ö±Ïß¿òÆ½ÃæÏòÏ£®Èôµ¼Ìå°ôʼÖÕ±£³Ö¾²Ö¹£¬²¢ÉèÏòÓÒΪ¾²Ä¦²ÁÁ¦µÄÕý·½Ïò£¬Ôòµ¼Ìå°ôËùÊܵľ²Ä¦²ÁÁ¦fËæÊ±¼ä±ä»¯µÄͼÏóÊÇͼÖе썡¡¡¡£©

²é¿´´ð°¸ºÍ½âÎö>>

¿ÆÄ¿£º¸ßÖÐÎïÀí À´Ô´£º ÌâÐÍ£º

¾«Ó¢¼Ò½ÌÍøÈçͼ¼×Ëùʾ£¬P¡¢QÎªË®Æ½ÃæÄÚÆ½ÐзÅÖõĽðÊô³¤Ö±µ¼¹ì£¬¼ä¾àΪd£¬´¦ÔÚ´óСΪB¡¢·½ÏòÊúÖ±ÏòϵÄÔÈÇ¿´Å³¡ÖУ®Ò»¸ùÖÊÁ¿Îªm¡¢µç×èΪrµÄµ¼Ìå°ôef´¹Ö±ÓÚP¡¢Q·ÅÔÚµ¼¹ìÉÏ£¬µ¼Ìå°ôefÓëP¡¢Qµ¼¹ìÖ®¼äµÄ¶¯Ä¦²ÁÒòÊýΪ¦Ì£®ÖÊÁ¿ÎªMµÄÕý·½ÐνðÊô¿òabcd£¬±ß³¤ÎªL£¬Ã¿±ßµç×è¾ùΪr£¬ÓÃϸÏßÐü¹ÒÔÚÊúÖ±Æ½ÃæÄÚ£¬ab±ßˮƽ£¬Ïß¿òµÄa¡¢bÁ½µãͨ¹ýϸµ¼ÏßÓëµ¼¹ìÏàÁ¬£¬½ðÊô¿òÉϰ벿·Ö´¦ÔÚ´óСΪB¡¢·½Ïò´¹Ö±¿òÃæÏòÀïµÄÔÈÇ¿´Å³¡ÖУ¬Ï°벿·Ö´¦ÔÚ´óСҲΪB£¬·½Ïò´¹Ö±¿òÃæÏòÍâµÄÔÈÇ¿´Å³¡ÖУ¬²»¼ÆÆäÓàµç×èºÍϸµ¼Ïß¶Ôa¡¢bµãµÄ×÷ÓÃÁ¦£®ÏÖÓÃÒ»µç¶¯»úÒԺ㶨¹¦ÂÊÑØµ¼¹ì·½ÏòˮƽǣÒýµ¼Ìå°ôefÏò×óÔ˶¯£¬´Óµ¼Ìå°ô¿ªÊ¼Ô˶¯¼ÆÊ±£¬Ðü¹ÒÏß¿òµÄϸÏßÀ­Á¦TËæÊ±¼äµÄ±ä»¯ÈçͼÒÒËùʾ£¬Çó£º
£¨1£©t0ʱ¼äÒÔºóͨ¹ýab±ßµÄµçÁ÷£»
£¨2£©t0ʱ¼äÒÔºóµ¼Ìå°ôefÔ˶¯µÄËÙ¶È£»
£¨3£©µç¶¯»úµÄÇ£ÒýÁ¦¹¦ÂÊP£®

²é¿´´ð°¸ºÍ½âÎö>>

¿ÆÄ¿£º¸ßÖÐÎïÀí À´Ô´£º±±¾©ÊÐËÄÖÐ2011£­2012ѧÄê¸ß¶þÏÂѧÆÚÆÚÖвâÊÔÎïÀíÊÔÌâ ÌâÐÍ£º021

ÔÚˮƽ·ÅÖÃµÄÆ½ÐнðÊô¿ò¼ÜÉÏ£¬Óиù½ðÊô°ô·ÅÔÚabλÖÃÉÏ£®Èô»ØÂ·ÖÐÖ»Óеç×èR£¬½ðÊô°ôÓë¿ò¼ÜµÄµç×輰Ħ²Á×èÁ¦²»¼Æ£¬½ðÊô°ôÏȺóÁ½´ÎÔÚˮƽÏòÓÒÍâÁ¦µÄ×÷ÓÃÏ£¬ÒÔ²»Í¬µÄËÙ¶ÈÔÈËÙÓÉͼÖÐabλÖÃÆ½ÒƵ½Î»Öã®ÔòÒÔÏÂ˵·¨ÖÐÕýÈ·µÄÊÇ

A£®Á½´Îͨ¹ý½ðÊô°ôºá½ØÃæµÄµçÁ¿Ïàͬ

B£®Á½´ÎˮƽÍâÁ¦µÄ³åÁ¿Ïàͬ

C£®Á½´ÎˮƽÍâÁ¦×ö¹¦Ïàͬ

D£®Á½´ÎˮƽÍâÁ¦×ö¹¦µÄ¹¦ÂÊÏàͬ

²é¿´´ð°¸ºÍ½âÎö>>

¿ÆÄ¿£º¸ßÖÐÎïÀí À´Ô´£º±±¾©ÆÚÖÐÌâ ÌâÐÍ£º²»¶¨ÏîÑ¡Ôñ

ÔÚˮƽ·ÅÖÃµÄÆ½ÐнðÊô¿ò¼ÜÉÏ£¬Óиù½ðÊô°ô·ÅÔÚabλÖÃÉÏ¡£Èô»ØÂ·ÖÐÖ»Óеç×èR£¬½ðÊô°ôÓë¿ò¼ÜµÄµç×輰Ħ²Á×èÁ¦²»¼Æ£¬½ðÊô°ôÏȺóÁ½´ÎÔÚˮƽÏòÓÒÍâÁ¦µÄ×÷ÓÃÏ£¬ÒÔ²»Í¬µÄËÙ¶ÈÔÈËÙÓÉͼÖÐabλÖÃÆ½ÒƵ½a'b'λÖá£ÔòÒÔÏÂ˵·¨ÖÐÕýÈ·µÄÊÇ      
[     ]
A. Á½´Îͨ¹ý½ðÊô°ôºá½ØÃæµÄµçÁ¿Ïàͬ    
B. Á½´ÎˮƽÍâÁ¦µÄ³åÁ¿Ïàͬ    
C. Á½´ÎˮƽÍâÁ¦×ö¹¦Ïàͬ    
D. Á½´ÎˮƽÍâÁ¦×ö¹¦µÄ¹¦ÂÊÏàͬ

²é¿´´ð°¸ºÍ½âÎö>>

ͬ²½Á·Ï°²á´ð°¸