精英家教网 > 高中物理 > 题目详情
已知地球半径为6400km ,已知太阳向空间辐射太阳能的总功率为3.8 ×1026W ,辐射到地球上的太 阳能总功率为1.7 ×1017W.
(1)估算地球到太阳的距离;
(2)并计算太阳的质量.(G=6. 67 ×10-11 N ·m2/kg2
解:(1)设地球到太阳的距离为R ,
由能量分配可得,辐射到地球上的太阳能E=E 1·
因 E1 =P1·t     E=P·t
且P1 = 3. 8×1026W,
P=1.7×107W,
所以=
(2)已知地球绕太阳公转的周期为T=365×24×3600 s=3.15×107s.
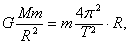
由万有引力定律,得

练习册系列答案
相关习题

科目:高中物理 来源: 题型:

某质量为优的人造卫星离地面的高度为R,将人造卫星绕地球的运动看成匀速圆周运动。已知地球半径为R,地表重力加速度为g。

(1)试求该卫星动能的表达式。

(2)若规定无穷远处物体的重力势能为零,则质量为m的物体对应重力势能的表达式为

Ep=-G,r为物体离地心距离,M为地球质量,G为万有引力常量。试求上述人造卫星运行时的总机械能为多大?(已知该卫星质量m=2 t,地球半径为R=640 km,g=10 m/s。)

查看答案和解析>>

同步练习册答案