精英家教网 > 高中物理 > 题目详情
已知地球赤道长为L,地球表面的重力加速度为g,月球绕地球做圆周运动的周期为T。请根据以上已知条件,推算月球与地球间的近似距离表达式。
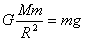
解:设地球表面的一物体质量为m,地球质量为M,半径为R
      在地球表面
      L=2πR
      设月球与地球间的距离为r,月球质量为m′
      由万有引力定律和牛顿第二定律
      由以上三式求出
练习册系列答案
相关习题

科目:高中物理 来源: 题型:

已知地球赤道长为L,地球表面的重力加速度为g.月球绕地球做圆周运动的周期为T.请根据以上已知条件,推算月球与地球间的近似距离.

查看答案和解析>>

科目:高中物理 来源: 题型:

已知地球赤道长为L,地球表面的重力加速度为g。月球绕地球做圆周运动的周期为T。请根据以上已知条件,推算月球与地球间的近似距离表达式。

查看答案和解析>>

科目:高中物理 来源:2012-2013学年黑龙江省大庆铁人中学高一4月月考物理试卷(带解析) 题型:计算题

已知地球赤道长为L,地球表面的重力加速度为g月球绕地球做圆周运动的周期为T.请根据以上已知条件,推算月球与地球间的近似距离.

查看答案和解析>>

科目:高中物理 来源:2015届黑龙江省高一4月月考物理试卷(解析版) 题型:计算题

已知地球赤道长为L,地球表面的重力加速度为g月球绕地球做圆周运动的周期为T.请根据以上已知条件,推算月球与地球间的近似距离.

 

查看答案和解析>>

科目:高中物理 来源:2010年辽宁省本溪市高一下学期期末考试物理A卷 题型:计算题

已知地球赤道长为L,地球表面的重力加速度为g。月球绕地球做圆周运动的周期为T。请根据以上已知条件,推算月球与地球间的近似距离表达式。

 

查看答案和解析>>

同步练习册答案