精英家教网 > 高中物理 > 题目详情

最近我国连续发射了多颗“北斗一号”导航定位卫星,预示着我国通讯技术的不断提高。该卫星处于地球的同步轨道,假设其离地高度为h,地球半径为R,地面附近重力加速度为g,则有(    )

A.该卫星运行周期为24h

B.该卫星所在处的重力加速度是

C.该卫星周期与近地卫星周期之比是

D.该卫星运动动能是

 

【答案】

ABD

【解析】

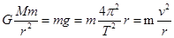
试题分析:地球同步卫星和地球自转同步,周期为24h ,A正确;利用万有引力提供向心力 可知:,该卫星所在处的重力加速度和地面处的重力加速度之比是,可知B正确;,该卫星周期与近地卫星周期之比为,C错误;

,D正确。

考点:本题考查了万有引力与卫星问题。

 

练习册系列答案
相关习题

科目:高中物理 来源: 题型:

最近我国连续发射了多颗“北斗一号”导航定位卫星,预示着我国通讯技术的不断提高.该卫星处于地球的同步轨道,假设其离地高度为h,地球半径为R,地面附近重力加速度为g,则有(  )

查看答案和解析>>

科目:高中物理 来源: 题型:

(2013山东省临沂市质检)最近我国连续发射了多颗“北斗一号”导航定位卫星,预示着我国通讯技术的不断提高。该卫星处于地球的同步轨道,假设其离地高度为h,地球半径为R,地面附近重力加速度为g,则有

       A.该卫星运行周期为24h

       B.该卫星所在处的重力加速度是

       C.该卫星周期与近地卫星周期之比是

       D.该卫星运动动能是

查看答案和解析>>

科目:高中物理 来源:2012-2013学年山东省临沂市高三(上)期中物理试卷(解析版) 题型:选择题

最近我国连续发射了多颗“北斗一号”导航定位卫星,预示着我国通讯技术的不断提高.该卫星处于地球的同步轨道,假设其离地高度为h,地球半径为R,地面附近重力加速度为g,则有( )
A.该卫星运行周期为24h
B.该卫星所在处的重力加速度是
C.该卫星周期与近地卫星周期之比是
D.该卫星运动动能是

查看答案和解析>>

科目:高中物理 来源: 题型:

最近我国连续发射了多颗“北斗一号”导航定位卫星,预示着我国通讯技术的不断提高。该卫星处于地球的同步轨道,假设其离地高度为h,地球半径为R,地面附近重力加速度为g,则有(    )

       A.该卫星运行周期为24h                     B.该卫星所在处的重力加速度是

       C.该卫星周期与近地卫星周期之比是   D.该卫星运动动能是

查看答案和解析>>

同步练习册答案