£¨15·Ö£©³É¶¼ÊÇÒ»×ùÀ´Á˾Ͳ»Ïë×ߵijÇÊУ¬ÓÆÏжø²»Ê§¸ßÑÅ£¬Ç°²»¾Ã£¬³É¶¼¶«ÇøÒôÀÖ¹«Ô°¾Í¾Ù°ìÁËÒ»³¡Ê¢´óµÄ¸ÖÇÙÒôÀֻᡣ¹¤×÷ÈËÔ±ÔÚ²¼ÖÃÎę̀ʱ£¬ÒªÓÃÉþË÷°Ñ¸ÖÇÙ´Ó¸ß̨µõÔ˵½µØÃæ¡£ÒÑÖª¸ÖÇÙµÄÖÊÁ¿Îª175kg£¬ÉþË÷ÄܳÐÊܵÄ×î´óÀÁ¦Îª1820N£¬µõÔ˹ý³ÌÖиÖÇÙÒÔ0.6m/sµÄËÙ¶ÈÔÚÊúÖ±·½ÏòÉÏ×öÔÈËÙÖ±ÏßÔ˶¯¡£½µÂäÖÁµ×²¿¾àµØÃæµÄ¸ß¶ÈΪhʱ£¬Á¢¼´ÒԺ㶨¼ÓËٶȼõËÙ£¬×îÖÕ¸ÖÇÙÂäµØÊ±¸ÕºÃËÙ¶ÈΪÁ㣨gÈ¡10m/s2£©£¬
Ç󣺣¨1£©hµÄ×îСֵÊǶàÉÙ£»
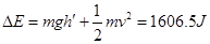
£¨2£©ÎªÁ˱£Ö¤ÉþË÷ºÍ¸ÖÇٵݲȫ£¬´Ë´ÎÒÔ0.6m/sµÄ³õËÙ¶ÈÔȼõËÙµ½Á㣬ÓÃʱ3s£¬Çó´Ë´Î¼õËÙ¹ý³ÌÖиÖÇÙ»úеÄܵı仯Á¿¡÷E¡£
£¨1£©0.45m (2) 1606.5J
¡¾½âÎö¡¿
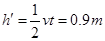
ÊÔÌâ·ÖÎö£º£¨1£©µ±ÀÁ¦×î´óʱ£¬hÓÐ×îСֵ¡£¶Ô¸ÖÇÙ£ºF-mg=ma a=0.4 m/s2
v2=-2ah h=0.45m £¨6·Ö£©£¨Óö¯Äܶ¨ÀíͬÑùµÃ·Ö£©
(2)µ±¼õËÙʱ¼äΪ3sʱ£º
£¨3·Ö£©
£¨·¨Ò»£©
£¨4·Ö£©
ËùÒÔ£¬¸ÖÇÙ»úеÄܵĻúеÄܼõÉÙÁË1606.5J£¨2·Ö£©
£¨·¨¶þ£©
£¨4·Ö£©
ËùÒÔ£¬¸ÖÇÙ»úеÄܵĻúеÄܼõÉÙÁË1606.5J£¨2·Ö£©
¿¼µã£º±¾Ì⿼²éÅ£¶ÙµÚ¶þ¶¨ÂÉ¡¢»úеÄÜ£¬ÒâÔÚ¿¼²éѧÉúµÄ×ÛºÏÄÜÁ¦¡£
| Äê¼¶ | ¸ßÖÐ¿Î³Ì | Äê¼¶ | ³õÖÐ¿Î³Ì |
| ¸ßÒ» | ¸ßÒ»Ãâ·Ñ¿Î³ÌÍÆ¼ö£¡ | ³õÒ» | ³õÒ»Ãâ·Ñ¿Î³ÌÍÆ¼ö£¡ |
| ¸ß¶þ | ¸ß¶þÃâ·Ñ¿Î³ÌÍÆ¼ö£¡ | ³õ¶þ | ³õ¶þÃâ·Ñ¿Î³ÌÍÆ¼ö£¡ |
| ¸ßÈý | ¸ßÈýÃâ·Ñ¿Î³ÌÍÆ¼ö£¡ | ³õÈý | ³õÈýÃâ·Ñ¿Î³ÌÍÆ¼ö£¡ |
¿ÆÄ¿£º¸ßÖÐÎïÀí À´Ô´£º ÌâÐÍ£º
³É¶¼ÊÇÒ»×ùÀ´Á˾Ͳ»Ïë×ߵijÇÊУ¬ÓÆÏжø²»Ê§¸ßÑÅ£¬Ç°²»¾Ã£¬³É¶¼¶«ÇøÒôÀÖ¹«Ô°¾Í¾Ù°ìÁËÒ»³¡Ê¢´óµÄ¸ÖÇÙÒôÀֻᡣ¹¤×÷ÈËÔ±ÔÚ²¼ÖÃÎę̀ʱ£¬ÒªÓÃÉþË÷°Ñ¸ÖÇÙ´Ó¸ß̨µõÔ˵½µØÃæ¡£ÒÑÖª¸ÖÇÙµÄÖÊÁ¿Îª175kg£¬ÉþË÷ÄܳÐÊܵÄ×î´óÀÁ¦Îª1820N£¬µõÔ˹ý³ÌÖиÖÇÙÒÔ0.6m/sµÄËÙ¶ÈÔÚÊúÖ±·½ÏòÉÏ×öÔÈËÙÖ±ÏßÔ˶¯¡£½µÂäÖÁµ×²¿¾àµØÃæµÄ¸ß¶ÈΪhʱ£¬Á¢¼´ÒԺ㶨¼ÓËٶȼõËÙ£¬×îÖÕ¸ÖÇÙÂäµØÊ±¸ÕºÃËÙ¶ÈΪÁ㣨gÈ¡10m/s2£©£¬
Ç󣺣¨1£©hµÄ×îСֵÊǶàÉÙ£»
£¨2£©ÎªÁ˱£Ö¤ÉþË÷ºÍ¸ÖÇٵݲȫ£¬´Ë´ÎÒÔ0.6m/sµÄ³õËÙ¶ÈÔȼõËÙµ½Á㣬ÓÃʱ3s£¬Çó´Ë´Î¼õËÙ¹ý³ÌÖиÖÇÙ»úеÄܵı仯Á¿¡÷E¡£
²é¿´´ð°¸ºÍ½âÎö>>
¹ú¼ÊѧУÓÅÑ¡ - Á·Ï°²áÁбí - ÊÔÌâÁбí
ºþ±±Ê¡»¥ÁªÍøÎ¥·¨ºÍ²»Á¼ÐÅÏ¢¾Ù±¨Æ½Ì¨ | ÍøÉÏÓк¦ÐÅÏ¢¾Ù±¨×¨Çø | µçÐÅթƾٱ¨×¨Çø | ÉæÀúÊ·ÐéÎÞÖ÷ÒåÓк¦ÐÅÏ¢¾Ù±¨×¨Çø | ÉæÆóÇÖȨ¾Ù±¨×¨Çø
Î¥·¨ºÍ²»Á¼ÐÅÏ¢¾Ù±¨µç»°£º027-86699610 ¾Ù±¨ÓÊÏ䣺58377363@163.com