ÈçͼËùʾ£¬ÖÊÁ¿ÎªMµÄľ°å³¤ÎªL£¬Ä¾°åµÄÁ½¸ö¶Ëµã·Ö±ðΪA¡¢B£¬ÖеãΪO£¬Ä¾°åÖÃÓڹ⻬µÄË®Æ½ÃæÉϲ¢ÒÔv0µÄˮƽ³õËÙ¶ÈÏòÓÒÔ˶¯¡£Èô°ÑÖÊÁ¿ÎªmµÄСľ¿é£¨¿ÉÊÓΪÖʵ㣩ÖÃÓÚľ°åµÄB¶Ë£¬Ð¡Ä¾¿éµÄ³õËÙ¶ÈΪÁ㣬×îÖÕСľ¿éËæÄ¾°åÒ»ÆðÔ˶¯¡£Ð¡Ä¾¿éÓëľ°å¼äµÄ¶¯Ä¦²ÁÒòÊýΪ¦Ì£¬ÖØÁ¦¼ÓËÙ¶ÈΪg¡£Çó£º
£¨1£©Ð¡Ä¾¿éÓëľ°åÏà¶Ô¾²Ö¹Ê±£¬Ä¾°åÔ˶¯µÄËÙ¶È£»
£¨2£©´ÓСľ¿é·ÅÉÏľ°åµ½ËüÓëľ°åÏà¶Ô¾²Ö¹µÄ¹ý³ÌÖУ¬Ä¾°åÔ˶¯µÄÎ»ÒÆ£»
£¨3£©Ð¡Ä¾¿éÓëľ°å¼äµÄ¶¯Ä¦²ÁÒòÊý¦ÌµÄȡֵÔÚʲô·¶Î§ÄÚ£¬²ÅÄÜʹľ¿é×îÖÕÏà¶ÔÓÚľ°å¾²Ö¹Ê±Î»ÓÚOAÖ®¼ä¡£
½â£º£¨1£©Ð¡Ä¾¿éÔÚľ°åÉÏ»¬¶¯Ö±ÖÁÏà¶Ô¾²Ö¹µÄ¹ý³ÌÖÐϵͳ¶¯Á¿Êغ㣬ÉèÏà¶Ô¾²Ö¹Ê±¹²Í¬ËÙ¶ÈΪv£¬Ôò
 ¢Ù
½âµÃ ¢Ú
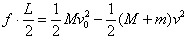
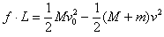
£¨2£©´ÓСľ¿é·ÅÉÏľ°åµ½ËüÓëľ°åÏà¶Ô¾²Ö¹µÄ¹ý³ÌÖУ¬Éèľ°åÔ˶¯µÄÎ»ÒÆÎªx£¬¶Ôľ°åÓ¦Óö¯Äܶ¨Àí
 ¢Û
ÓÖÒòΪ ¢Ü
½âµÃ
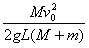
£¨3£©ÉèСľ¿éÇ¡ºÃÏà¶Ô¾²Ö¹ÔÚAµã£¬¶ÔϵͳÓÉÄÜÁ¿ÊغãºÍ¹¦ÄܹØÏµ¿ÉµÃ£º
¢Ý
ÓÉ¢Ù¡¢¢Ü¡¢¢ÝÈý¸ö·½³Ì½âµÃ
ÉèСľ¿éÇ¡ºÃÏà¶Ô¾²Ö¹ÔÚOµã£¬¶ÔϵͳÓÉÄÜÁ¿ÊغãºÍ¹¦ÄܹØÏµ¿ÉµÃ£º
 ¢Þ
ÓÉ¢Ù¡¢¢Ü¡¢¢ÞÈý¸ö·½³Ì½âµÃ
ËùÒÔҪʹľ¿ém×îÖÕ»¬¶¯µ½OAÖ®¼ä£¬¦ÌֵӦȡΪ¡Ý¦Ì ¡Ý£¨²»µÈʽÖÐÓôóÓںűíʾҲËãÕýÈ·£©
Á·Ï°²áϵÁдð°¸
Ïà¹ØÏ°Ìâ

¿ÆÄ¿£º¸ßÖÐÎïÀí À´Ô´£º ÌâÐÍ£º

ÈçͼËùʾ£¬ÖÊÁ¿ÎªMµÄÐ±Ãæ·ÅÖÃÓÚË®Æ½ÃæÉÏ£¬ÆäÉÏÓÐÖÊÁ¿ÎªmµÄСÎï¿é£¬¸÷½Ó´¥Ãæ¾ùÎÞĦ²ÁÁ¦£¬µÚÒ»´Î½«Ë®Æ½Á¦F1¼ÓÔÚMÉÏ£¬µÚ¶þ´Î½«F2¼ÓÔÚmÉÏ£¬Á½´Î¶¼ÒªÇómÓëM²»·¢ÉúÏà¶Ô»¬¶¯£¬ÔòF1ÓëF2µÄ±ÈΪ£¨¡¡¡¡£©

²é¿´´ð°¸ºÍ½âÎö>>

¿ÆÄ¿£º¸ßÖÐÎïÀí À´Ô´£º ÌâÐÍ£º

ÈçͼËùʾ£¬ÖÊÁ¿ÎªmµÄСÇò£¬¾àË®Æ½Ãæ¸ßΪ2mʱ£¬ËٶȵĴóСΪ4m/s£¬·½ÏòÊúÖ±ÏòÏ£¬ÈôÇòµÄÔ˶¯ÖÐ¿ÕÆø×èÁ¦µÄ´óСµÈÓÚÖØÁ¦µÄ0.1±¶£¬ÓëµØÃæÏàÅöµÄ¹ý³ÌÖв»Ëðʧ»úеÄÜ£¬Çó£º
£¨1£©Ð¡ÇòÓëµØÃæÏàÅöºóÉÏÉýµÄ×î´ó¸ß¶È£»
£¨2£©Ð¡Çò´Ó2m´¦¿ªÊ¼µ½Í£ÏÂͨ¹ýµÄ·³Ì£¿£¨È¡g=10m/s2£®£©

²é¿´´ð°¸ºÍ½âÎö>>

¿ÆÄ¿£º¸ßÖÐÎïÀí À´Ô´£º ÌâÐÍ£º

ÈçͼËùʾ£¬ÖÊÁ¿ÎªmµÄСÇò£¬´ÓAµãÓɾ²Ö¹¿ªÊ¼¼ÓËÙÏÂÂ䣬¼ÓËÙ¶È´óСΪ
g
3
£¬ÔòÏÂÂäÖÁAµãÏ·½h´¦µÄBµãʱ£¨ÒÔµØÃæÎª²Î¿¼Ã棩£¨¡¡¡¡£©

²é¿´´ð°¸ºÍ½âÎö>>

¿ÆÄ¿£º¸ßÖÐÎïÀí À´Ô´£º ÌâÐÍ£º

ÈçͼËùʾ£¬ÖÊÁ¿ÎªMµÄÈËͨ¹ý¶¨»¬ÂÖ½«ÖÊÁ¿ÎªmµÄÖØÎïÒÔ¼ÓËÙ¶ÈaÉÏÌá£¬ÖØÎïÉÏÉý¹ý³Ì£¬È˱£³Ö¾²Ö¹£®ÈôÉþÓëÊúÖ±·½Ïò¼Ð½ÇΪ¦È£¬Çó£º
£¨1£©Éþ×Ó¶ÔÖØÎïµÄÀ­Á¦¶à´ó£¿
£¨2£©È˶ԵØÃæµÄѹÁ¦£¿

²é¿´´ð°¸ºÍ½âÎö>>

¿ÆÄ¿£º¸ßÖÐÎïÀí À´Ô´£º ÌâÐÍ£º

¾«Ó¢¼Ò½ÌÍøÈçͼËùʾ£¬ÖÊÁ¿ÎªMµÄШÐÎÎï¿é¾²Ö¹ÔÚˮƽµØÃæÉÏ£¬ÆäÐ±ÃæµÄÇã½ÇΪ¦È£®Ð±ÃæÉÏÓÐÒ»ÖÊÁ¿ÎªmµÄСÎï¿é£¬Ð¡Îï¿éÓëÐ±ÃæÖ®¼ä´æÔÚĦ²Á£®ÓúãÁ¦FÑØÐ±ÃæÏòÉÏÀ­£¬Ê¹Ö®ÔÈËÙÉÏ»¬£®ÔÚСÎï¿éÔ˶¯µÄ¹ý³ÌÖУ¬Ð¨ÐÎÎï¿éʼÖÕ±£³Ö¾²Ö¹£¬Ôò£¨¡¡¡¡£©
A¡¢µØÃæ¶ÔШÐÎÎï¿éµÄÖ§³ÖÁ¦Îª£¨M+m£©gB¡¢µØÃæ¶ÔШÐÎÎï¿éµÄĦ²ÁÁ¦ÎªÁãC¡¢Ð¨ÐÎÎï¿é¶ÔСÎï¿éĦ²ÁÁ¦¿ÉÄÜΪÁãD¡¢Ð¡Îï¿éÒ»¶¨Êܵ½ËĸöÁ¦×÷ÓÃ

²é¿´´ð°¸ºÍ½âÎö>>

ͬ²½Á·Ï°²á´ð°¸