精英家教网 > 高中物理 > 题目详情
做平抛运动的物体,运动过程中位移s与水平方向的夹角θ的正切值随时间变化图象是下图中的( )
A.
B.
C.
D.
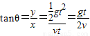
【答案】分析:平抛运动在水平方向上做匀速直线运动,在竖直方向上做自由落体运动,分别求出竖直位移和水平位移,从而得出运动过程中位移s与水平方向的夹角θ的正切值.
解答:解:水平方向上的位移x=vt,竖直方向上的位移y=,则运动过程中位移s与水平方向的夹角θ的正切值.可知tanθ与t成正比.故B正确,A、C、D错误.
故选B.
点评:解决本题的关键知道平抛运动在水平方向和竖直方向上的运动规律,结合运动学公式进行求解.
练习册系列答案
相关习题

科目:高中物理 来源: 题型:

在做“研究平抛物体的运动”的实验中,为了确定小球在不同时刻所通过的位置,实验时用如图所示的装置,先将斜槽轨道的末端调整水平,在一块平木板表面钉上复写纸和白纸,并将该木板竖直立于紧靠槽口处.使小球从斜槽上紧靠挡板处由静止释放,小球撞到木板并在白纸上留下痕迹A;将木板向运离糟口平移距离x,再使小球从斜槽上紧靠挡板处由静止释放,小球撞在木板上得到痕迹B;又将木板再向远离槽口平移距离x,小球再从斜槽上紧靠挡板处由静止释放;再得到痕迹C.若测得木板每次移动距离x=10.00 cm,A,B间距离y1=4.89 cm,B、C间距离y2=14.69 cm.(g取9.80 m/s2)

(1)根据以上直接测量的物理量得小球初速度为v0=_________(用题中所给字母表示);

(2)小球初速度的测量值为_________m/s.

查看答案和解析>>

科目:高中物理 来源: 题型:

如图a所示是“研究平抛物体的运动”的实验装置图。

   (1)图b是正确实验后的数据,其中O为抛出点,则此小球做平抛运动的初速度为__________m/s。(g=9.8m/s2

   (2)在另一次实验中将白纸换成方格纸,方格边长L=5 cm,通过实验,记录了小球在运

动途中的三个位置,如图c所示,则该小球做平抛运动的初速度为_________m/s;

B点的竖直分速度为___________m/s。

查看答案和解析>>

科目:高中物理 来源: 题型:

如图a所示是“研究平抛物体的运动”的实验装置图。

   (1)图b是正确实验后的数据,其中O为抛出点,则此小球做平抛运动的初速度为__________m/s。(g=9.8m/s2

   (2)在另一次实验中将白纸换成方格纸,方格边长L=5 cm,通过实验,记录了小球在运

动途中的三个位置,如图c所示,则该小球做平抛运动的初速度为_________m/s;

B点的竖直分速度为___________m/s。

查看答案和解析>>

同步练习册答案