精英家教网 > 高中物理 > 题目详情
如图所示,足够长的绝缘光滑水平面上分别固定着大小、形状完全相同的两个物体A、B,相距L=0.2 m,它们的质量mA=mB=0.2kg,其中A物体带正电,电量q=2×10-8C,B物体不带电。水平面上方存在水平向右的匀强电场,场强E=2.5×107N/C,在t=0时刻同时撤去固定两物体的外力后,A物体将沿水平面向右运动,并与B物体发生连续碰撞(碰撞时间极短),两物体碰撞时A物体电量不发生变化,并且每次碰撞时两物体速度均发生相互交换(g取10m/s2)。求:
(1)从A开始运动到两物体第一次相碰经历的时间;
(2)第二次碰撞时,A物体对B物体做的功;
(3)从开始至第n次碰撞时B物体通过的路程。
解:(1)由题意知,撤去固定A、B的外力后,物体B恰好静止于水平面上,物体A将沿水平面向右做匀速直线运动
以A物体做为研究对象,由牛顿第二定律得
解得
由运动学公式得,从A开始运动到第一次碰撞用时
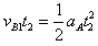
(2)A与B第一次碰撞前的速度
由于AB碰撞后交换速度,故AB第一次碰后瞬时,B的速率
两物体相碰后,A物体的速度变为零,以后再做匀加速运动,而B物体将以的速度做匀速直线运动
设再经t2时间相碰,则有
解得

由题意知
对B物体由动能定理得
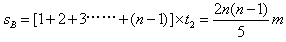
(3)从第2次碰撞开始,每次A物体运动到与B物体碰撞时,速度增加量均为,由于碰后速度交换,因而碰后B物体的速度为:
第一次碰后:
第二次碰后:
第三次碰后:
第n次碰后:
每段时间内,B物体都做匀速直线运动,则第n次碰前所运动的距离为
 
练习册系列答案
相关习题

科目:高中物理 来源: 题型:

如图所示,圆柱形绝热气缸(设其足够长)固定于水平面上,缸内用绝热活塞密封一定质量的理想气体,已知活塞与气缸壁的接触是光滑的,活塞的横截面积为S,大气压强为P0,电源和电热丝构成回路.可以对气体缓慢加热.开始时,电路未接通,系统处于平衡状态,封闭气体的温度为T1.现用两种方法使气缸内气体温度,均由T1缓慢升高到T2.第一次先将活塞固定,接通电路后电热丝产生的热量为Q1;第二次活塞不固定.可以缓慢自由移动,接通电路后电热丝产生的热量为Q2
①通过计算说明Q1和Q2哪个大些?
②求第二种情况下气缸内气体温度由T1升高到T2的过程中,活塞移动的距离L.

查看答案和解析>>

科目:高中物理 来源: 题型:阅读理解

精英家教网(1)分析判断以下说法的正误,在相应的括号内打“√”或“×”
A.用手捏面包,面包体积会缩小,说明分子之间有间隙
 

B.温度相同的氢气和氧气,氢气分子和氧气分子的平均速率相同
 

C.夏天荷叶上小水珠呈球状,是由于液体表面张力使其表面积具有收缩到到最小趋势的缘故
 

D.自然界中进行的一切与热现象有关的宏观过程都具有方向性
 

(2)在“用油膜法估测分子的大小”的实验中,有下列操作步骤,请补充实验步骤C的内容及实验步骤E中的计算式:
A.用滴管将浓度为0.05%的油酸酒精溶液逐滴滴入量筒中,记下滴入 1mL 的油酸酒精溶液的滴数N;
B.将痱子粉末均匀地撒在浅盘内的水面上,用滴管吸取浓度为0.05%的油酸酒精溶液,逐滴向水面上滴入,直到油酸薄膜表面足够大,且不与器壁接触为止,记下滴入的滴数n;
C.
 

D.将画有油酸薄膜轮廓的玻璃板放在坐标纸上,以坐标纸上边长1cm的正方形为单位,计算出轮廓内正方形的个数m;
E.用上述测量的物理量可以估算出单个油酸分子的直径 d=
 
 cm.
(3)如图所示,绝热隔板S把绝热的气缸分隔成体积相等的两部分,S与气缸壁的接触是光滑的.两部分中分别盛有相同质量、相同温度的同种气体a和b.气体分子之间相互作用可忽略不计.现通过电热丝对气体a缓慢加热一段时间后,a、b各自达到新的平衡状态.试分析a、b两部分气体与初状态相比,体积、压强、温度、内能各如何变化?

查看答案和解析>>

科目:高中物理 来源: 题型:

精英家教网绝热气缸的质量为M,绝热活塞的质量为m,活塞与气缸壁之间无摩擦且不漏气,气缸中密封一部分理想气体,最初气缸被销钉固定在足够长的光滑固定斜面上.如图所示,现拔去销钉,让气缸在斜面上自由下滑,当活塞与气缸相对静止时,被封气体与原来气缸静止在斜面上时相比较,以下说法正确的是(  )

查看答案和解析>>

科目:高中物理 来源: 题型:

如图所示,在两端足够长的敞口容器中,有两个可以自由移动的光滑活塞A和B,中间封有空气.现有一块粘泥C以Ek0的动能沿水平方向飞撞到A并粘在一起向右运动,由于活塞的压缩,使密封气体的内能增加.设A、B、C质量相等,不计被封气体的质量,则密封气体在绝热状态变化过程中,内能增加量的最大值是多少?

查看答案和解析>>

科目:高中物理 来源:2010-2011学年河北省高三一模考试(理综)物理部分 题型:选择题

绝热气缸的质量为M,绝热活塞的质量为m,活塞与气缸壁之间无摩擦且不漏气,气缸中密封一部分理想气体,最初气缸被销钉固定在足够长的光滑固定斜面上。如图所示,现拔去销钉,让气缸在斜面上自由下滑,当活塞与气缸相对静止时,被封气体与原来气缸静止在斜面上时相比较,以下说法正确的是(  )

 A.气体的压强不变   B.气体的内能减少

 C.气体的温度升高   D.气体的体积增大

 

查看答案和解析>>

同步练习册答案