精英家教网 > 高中物理 > 题目详情
如图所示,带负电的小球静止在水平位置的平行板电容器两板间,距下板0.8 cm,两板间的电势差为300V。如果两板间电势差减小到60 V,则带电小球运动到极板上需多长时间?(取g=10 m/s2
解:取带电小球为研究对象,设它带电荷量为q,则带电小球受重力mg和电场力qE的作用
当U1=300 V时,小球平衡: ①
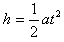
当U2=60 V时,带电小球向下极板做匀加速直线运动: ②
 ③
由①②③得:
练习册系列答案
相关习题

科目:高中物理 来源: 题型:

如图所示,带负电的金属环绕轴OO'以角速度ω匀速旋转,在环左侧轴线上的小磁针最后平衡的位置是(  )

查看答案和解析>>

科目:高中物理 来源: 题型:

如图所示,带负电的金属环绕其轴OO′匀速转动时,放在环顶部的小磁针最后将(  )
精英家教网
A、N极竖直向上B、N极竖直向下C、N极水平向左D、小磁针在水平面内转动

查看答案和解析>>

科目:高中物理 来源: 题型:

精英家教网如图所示,带负电的金属环绕轴OO′以一定的角速度匀速旋转,从右向左看为逆时针方向,在环左侧轴线上的小磁针最后平衡的位置是(  )
A、N极沿轴线向右B、N极沿轴线向左C、N极竖直向下D、N极竖直向上

查看答案和解析>>

科目:高中物理 来源: 题型:

如图所示,带负电的橡胶环绕轴OO′以角速度ω匀速旋转,在环左侧轴线上的小磁针最后平衡的位置是(    )

A.N极竖直向下                              B.N极竖直向上

C.N极沿轴线向左                            D.N极沿轴线向右

查看答案和解析>>

科目:高中物理 来源:2012年鲁科版高中物理选修3-1 5.2用磁感线描述磁场练习卷(解析版) 题型:选择题

如图所示,带负电的金属环绕轴OO′以角速度ω匀速旋转,在环左侧轴线上的小磁针最后平衡的位置是(    )

A.N极竖直向上             B.N极竖直向下

C.N极沿轴线向左           D.N极沿轴线向右

 

 

查看答案和解析>>

同步练习册答案