精英家教网 > 高中物理 > 题目详情
装甲车和战舰采用多层钢板比采用同样质量的单层钢板更能抵御穿甲弹的射击。通过对一下简化模型的计算可以粗略说明其原因。质量为2m、厚度为2d的钢板静止在水平光滑桌面上。质量为m的子弹以某一速度垂直射向该钢板,刚好能将钢板射穿。现把钢板分成厚度均为d、质量均为m的相同两块,间隔一段距离水平放置,如图所示。若子弹以相同的速度垂直射向第一块钢板,穿出后再射向第二块钢板,求子弹射入第二块钢板的深度。设子弹在钢板中受到的阻力为恒力,且两块钢板不会发生碰撞不计重力影响。
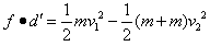
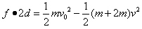
解:设子弹的初速为v0,穿过2d厚度的钢板时共同速度为v,受到阻力为f
对系统由动量和能量守恒得:
 ②
由①②得:
子弹穿过第一块厚度为d的钢板时,设其速度为v1,此时钢板的速度为u,穿第二块厚度为d的钢板时共同速度为v2,穿过深度为d'
对子弹和第一块钢板系统由动量和能量守恒得:
 ⑤
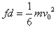
由③④⑤得:
对子弹和第二块钢板系统由动量和能量守恒得:
 ⑧
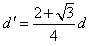
由③⑥⑦⑧得:
练习册系列答案
相关习题

科目:高中物理 来源: 题型:

(2012?东城区三模)装甲车和战舰采用多层钢板比采用同样质量的单层钢板更能抵御穿甲弹的射击.通过对一下简化模型的计算可以粗略说明其原因.质量为2m、厚度为2d的钢板静止在水平光滑桌面上.质量为m的子弹以某一速度垂直射向该钢板,刚好能将钢板射穿.现把钢板分成厚度均为d、质量均为m的相同两块,间隔一段距离水平放置,如图所示.若子弹以相同的速度垂直射向第一块钢板,穿出后再射向第二块钢板,求子弹射入第二块钢板的深度.设子弹在钢板中受到的阻力为恒力,且两块钢板不会发生碰撞不计重力影响.

查看答案和解析>>

科目:高中物理 来源: 题型:

装甲车和战舰采用多层钢板比采用同样质量的单层钢板更能抵御穿甲弹的射击。

通过对一下简化模型的计算可以粗略说明其原因。

质量为2m、厚度为2d的钢板静止在水平光滑桌面上。质量为m的子弹以某一速度垂直射向该钢板,刚好能将钢板射穿。现把钢板分成厚度均为d、质量均为m的相同两块,间隔一段距离水平放置,如图所示。若子弹以相同的速度垂直射向第一块钢板,穿出后再射向第二块钢板,求子弹射入第二块钢板的深度。设子弹在钢板中受到的阻力为恒力,且两块钢板不会发生碰撞不计重力影响。

查看答案和解析>>

科目:高中物理 来源:新人教版高三物理必修2机械能守恒定律及其应用专项练习(解析版) 题型:计算题

(2011·大纲版全国·T26)26.装甲车和战舰采用多层钢板比采用同样质量的单层钢板更能抵御穿甲弹的射击。通过对一下简化模型的计算可以粗略说明其原因。

质量为2m、厚度为2d的钢板静止在水平光滑桌面上。质量为m的子弹以某一速度垂直射向该钢板,刚好能将钢板射穿。现把钢板分成厚度均为d、质量均为m的相同两块,间隔一段距离水平放置,如图所示。若子弹以相同的速度垂直射向第一块钢板,穿出后再射向第二块钢板,求子弹射入第二块钢板的深度。设子弹在钢板中受到的阻力为恒力,且两块钢板不会发生碰撞不计重力影响。

 

查看答案和解析>>

科目:高中物理 来源:新人教版高三物理必修2功能关系能量守恒定律专项练习(解析版) 题型:计算题

(2011·大纲版全国·T26)26.装甲车和战舰采用多层钢板比采用同样质量的单层钢板更能抵御穿甲弹的射击。通过对一下简化模型的计算可以粗略说明其原因。

质量为2m、厚度为2d的钢板静止在水平光滑桌面上。质量为m的子弹以某一速度垂直射向该钢板,刚好能将钢板射穿。现把钢板分成厚度均为d、质量均为m的相同两块,间隔一段距离水平放置,如图所示。若子弹以相同的速度垂直射向第一块钢板,穿出后再射向第二块钢板,求子弹射入第二块钢板的深度。设子弹在钢板中受到的阻力为恒力,且两块钢板不会发生碰撞不计重力影响。

 

查看答案和解析>>

科目:高中物理 来源:2013届安徽省高二下学期期中考试(理)物理试卷(解析版) 题型:计算题

装甲车和战舰采用多层钢板比采用同样质量的单层钢板更能抵御穿甲弹的射击.通过对以下简化模型的计算可以粗略说明其原因.

质量为2m、厚度为2d的钢板静止在水平光滑桌面上。质量为m的子弹以某一速度垂直射向该钢板,刚好能将钢板射穿.现把钢板分成厚度均为d、质量均为m的相同两块,间隔一段距离平行放置,如图所示.若子弹以相同的速度垂直射向第一块钢板,穿出后再射向第二块钢板,求子弹射入第二块钢板的深度.设子弹在钢板中受到的阻力为恒力,且两块钢板不会发生碰撞。不计重力影响。

 

查看答案和解析>>

同步练习册答案