精英家教网 > 高中物理 > 题目详情

直流电路如图所示,在滑动变阻器的滑片P向右移动时,不正确是(  )

A.电源的总功率一定减小

B.电源的效率一定增大

C.电源的内部损耗功率一定减小

D.电源的输出功率一定先增大后减小

 

【答案】

D

【解析】

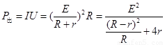
试题分析:如图所示电路中,电流表测量干路电流,电压表测量路端电压,当滑动变阻器的滑动片P向右移动时,变阻器的电阻增大,根据闭合电路欧姆定律分析得知,总电流减小,知路端电压增大,所以电流表示数减小,电压表示数增大.由知电源的总功率增大,A的说法正确;由知电源的效率增大,B的说法正确;知电源的内部损耗功率一定减小,C选项说法正确;由知,当时输出功率最大,而题意知滑动变阻器的滑片P向右移动时,不清楚R与r之间的关系,所以电源的输出功率可能先增大后减小,D的说法错误,故本题选择D。本题是电路中动态变化分析问题,在认识电路结构的基础上,先分析局部电阻的变化.局部电阻增大,整个电路的电阻增大,再由闭合电路欧姆定律分析总电流和路端电压的变化。

考点:闭合电路欧姆定律 电路中动态变化分析问题 总功率 输出功率 热功率 电源的效率

 

练习册系列答案
相关习题

科目:高中物理 来源: 题型:

直流电路如图所示,在滑动变阻器的滑片P向右移动时,电源的(  )

查看答案和解析>>

科目:高中物理 来源: 题型:

(2012?上海)直流电路如图所示,在滑动变阻器的滑片P向右移动时,电源的(  )

查看答案和解析>>

科目:高中物理 来源: 题型:

精英家教网直流电路如图所示,在滑动变阻器的滑片P向右移动时,下列说法中不正确的是(  )
A、电源的总功率一定减小B、电源的效率一定增大C、电源的内部损耗功率一定减小D、电源的输出功率一定先增大后减小

查看答案和解析>>

科目:高中物理 来源:2013-2014学年高考物理大二轮复习与测试强化练:恒定电流与交变电流(解析版) 题型:选择题

直流电路如图所示,在滑动变阻器的滑片P向右移动时,电源的(  )

A.总功率一定减小

B.效率一定增大

C.内部损耗功率一定减小

D.输出功率一定先增大后减小

 

查看答案和解析>>

科目:高中物理 来源:2014届河南省分校高二第二次阶段考试物理试卷(解析版) 题型:选择题

直流电路如图所示,在滑动变阻器的滑片P向右移动时,电源的(              )

A、总功率一定减小

B、效率一定增大

C、内部损耗功率一定减小 

D、输出功率一定先增大后减小

 

查看答案和解析>>

同步练习册答案