Ëæ×ÅÊÀ½çº½¿ÕÊÂÒµµÄ·¢Õ¹£¬ÉîÌ«¿Õ̽²âÒÑÖð½¥³ÉΪ¸÷¹ú¹Ø×¢µÄÈȵ㡣¼ÙÉèÉîÌ«¿ÕÖÐÓÐÒ»¿ÅÍâÐÇÇò£¬ÖÊÁ¿ÊǵØÇòÖÊÁ¿µÄ2±¶£¬°ë¾¶ÊǵØÇò°ë¾¶µÄ£¬ÔòÏÂÁÐÅжÏÕýÈ·µÄÊÇ£¨    £©

A£®¸ÃÍâÐÇÇòµÄͬ²½ÎÀÐÇÖÜÆÚÒ»¶¨Ð¡ÓÚµØÇòͬ²½ÎÀÐÇÖÜÆÚ

B£®Ä³ÎïÌåÔÚ¸ÃÍâÐÇÇò±íÃæÉÏËùÊÜÖØÁ¦ÊÇËüÔÚµØÇò±íÃæÉÏËùÊÜÖØÁ¦µÄ8±¶

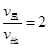
C£®¸ÃÍâÐÇÇòÉϵÚÒ»ÓîÖæËÙ¶ÈÊǵØÇòÉϵÚÒ»ÓîÖæËٶȵÄ2±¶

D£®ÈƸÃÍâÐÇÇòµÄÈËÔìÎÀÐǺÍÒÔÏàͬ¹ìµÀ°ë¾¶ÈƵØÇòµÄÈËÔìÎÀÐÇÔËÐÐËÙ¶ÈÏàͬ

 

¡¾´ð°¸¡¿

 BC

¡¾½âÎö¡¿

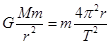
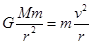
ÊÔÌâ·ÖÎö: ¸ù¾Ý½âµÃ£º, Òò²»ÖªµÀͬ²½ÎÀÐǹìµÀ°ë¾¶µÄ¹ØÏµ£¬ËùÒÔÎÞ·¨±È½Ï¸ÃÍâÐÇÇòµÄͬ²½ÎÀÐÇÖÜÆÚÓëµØÇòͬ²½ÎÀÐÇÖÜÆÚ¹ØÏµ£¬¹ÊA´íÎó;¸ù¾Ý½âµÃ£ºËùÒÔ ¹ÊBÕýÈ·£»¸ù¾Ý½âµÃ£ºËùÒÔ£¬¹ÊCÕýÈ·£»¸ù¾Ý£¬¹ìµÀ°ë¾¶rÏàͬ£¬µ«ÖÊÁ¿²»Í¬£¬ËùÒÔËÙ¶ÈÒ²²»Ò»Ñù£¬¹ÊD´íÎó

¿¼µã£ºÈËÔìÎÀÐǵļÓËÙ¶È¡¢ÖÜÆÚºÍ¹ìµÀµÄ¹ØÏµ£»ÍòÓÐÒýÁ¦¶¨Âɼ°ÆäÓ¦ÓÃ

 

Á·Ï°²áϵÁдð°¸
Ïà¹ØÏ°Ìâ

¿ÆÄ¿£º¸ßÖÐÎïÀí À´Ô´£º ÌâÐÍ£º

£¨2012?Î人ģÄâ£©Ëæ×ÅÊÀ½çº½¿ÕÊÂÒµµÄ·¢Õ¹£¬ÉîÌ«¿Õ̽²âÒÑÖð½¥³ÉΪ¸÷¹ú¹Ø×¢µÄÈȵ㣮¼ÙÉèÉîÌ«¿ÕÖÐÓÐÒ»¿ÅÍâÐÇÇò£¬ÖÊÁ¿ÊǵØÇòÖÊÁ¿µÄ2±¶£¬°ë¾¶ÊǵØÇò°ë¾¶µÄ
1
2
£®ÔòÏÂÁÐÅжÏÕýÈ·µÄÊÇ£¨¡¡¡¡£©

²é¿´´ð°¸ºÍ½âÎö>>

¿ÆÄ¿£º¸ßÖÐÎïÀí À´Ô´£º ÌâÐÍ£º

Ëæ×ÅÊÀ½çº½¿ÕÊÂÒµµÄ·¢Õ¹£¬ÉîÌ«¿Õ̽²âÒÑÖð½¥³ÉΪ¸÷¹ú¹Ø×¢µÄÈȵ㣮¼ÙÉèÉîÌ«¿ÕÖÐÓÐÒ»¿ÅÍâÐÇÇò£¬ÖÊÁ¿ÊǵØÇòÖÊÁ¿µÄ2±¶£¬°ë¾¶ÊǵØÇò°ë¾¶µÄ
1
2
£®ÔòÏÂÁÐÅжÏÕýÈ·µÄÊÇ£¨¡¡¡¡£©

²é¿´´ð°¸ºÍ½âÎö>>

¿ÆÄ¿£º¸ßÖÐÎïÀí À´Ô´£º ÌâÐÍ£º

£¨2010?ÁÙÒÊһģ£©Ëæ×ÅÊÀ½çº½¿ÕÊÂÒµµÄ·¢Õ¹£¬ÉîÌ«¿Õ̽²âÒÑÖð½¥³ÉΪ¸÷¹ú¹Ø×¢µÄÈȵ㣮¼ÙÉèÉîÌ«¿ÕÖÐÓÐÒ»¿ÅÍâÐÇÇò£¬ÖÊÁ¿ÊǵØÇòÖÊÁ¿µÄ2±¶£¬°ë¾¶ÊǵØÇò°ë¾¶µÄl/2£®ÔòÏÂÊöÅжÏÕýÈ·µÄÓУ¨¡¡¡¡£©

²é¿´´ð°¸ºÍ½âÎö>>

¿ÆÄ¿£º¸ßÖÐÎïÀí À´Ô´£º2011Äêɽ¶«Ê¡¸ßÈýÆÚÖп¼ÊÔÎïÀí¾í ÌâÐÍ£ºÑ¡ÔñÌâ

Ëæ×ÅÊÀ½çº½¿ÕÊÂÒµµÄ·¢Õ¹£¬ÉîÌ«¿Õ̽²âÒÑÖð½¥³ÉΪ¸÷¹ú¹Ø×¢µÄÈȵ㣮¼ÙÉèÉîÌ«¿ÕÖÐÓÐÒ»¿ÅÍâÐÇÇò£¬ÖÊÁ¿ÊǵØÇòÖÊÁ¿µÄ2±¶£¬°ë¾¶ÊǵØÇò°ë¾¶µÄ1/2£®ÔòÏÂÁÐÅжÏÕýÈ·µÄÊÇ£¨   £©                                              

A£®¸ÃÍâÐÇÇòµÄͬ²½ÎÀÐÇÖÜÆÚÒ»¶¨Ð¡ÓÚµØÇòͬ²½ÎÀÐÇÖÜÆÚ

B£®Ä³ÎïÌåÔÚ¸ÃÍâÐÇÇò±íÃæÉÏËùÊÜÖØÁ¦ÊÇÔÚµØÇò±íÃæÉÏËùÊÜÖØÁ¦µÄ8±¶

C£®¸ÃÍâÐÇÇòÉϵÚÒ»ÓîÖæËÙ¶ÈÊǵØÇòÉϵÚÒ»ÓîÖæËٶȵÄ2±¶

D£®ÈƸÃÍâÐÇÇòµÄÈËÔìÎÀÐǺÍÒÔÏàͬ¹ìµÀ°ë¾¶ÈƵØÇòµÄÈËÔìÎÀÐÇÔËÐÐËÙ¶ÈÏàͬ

 

²é¿´´ð°¸ºÍ½âÎö>>

¿ÆÄ¿£º¸ßÖÐÎïÀí À´Ô´£º2012½ì¶È½­Î÷Ê¡¸ßÈýµÚÎå´ÎÔ¿¼Àí×Û¿¼ÊÔÎïÀí¾í ÌâÐÍ£ºÑ¡ÔñÌâ

Ëæ×ÅÊÀ½çº½¿ÕÊÂÒµµÄ·¢Õ¹£¬ÉîÌ«¿Õ̽²âÒÑÖð½¥³ÉΪ¸÷¹ú¹Ø×¢µÄÈȵ㣮¼ÙÉèÉîÌ«¿ÕÖÐÓÐÒ»¿ÅÍâÐÇÇò£¬ÖÊÁ¿ÊǵØÇòÖÊÁ¿µÄ2±¶£¬°ë¾¶ÊǵØÇò°ë¾¶µÄ1/2£®ÔòÏÂÁÐÅжÏÕýÈ·µÄÊÇ(   )  A.¸ÃÍâÐÇÇòµÄͬ²½ÎÀÐÇÖÜÆÚÒ»¶¨Ð¡ÓÚµØÇòͬ²½ÎÀÐÇÖÜÆÚ

B.ijÎïÌåÔÚ¸ÃÍâÐÇÇò±íÃæÉÏËùÊÜÖØÁ¦ÊÇÔÚµØÇò±íÃæÉÏËùÊÜÖØÁ¦µÄ8±¶

C.¸ÃÍâÐÇÇòÉϵÚÒ»ÓîÖæËÙ¶ÈÊǵØÇòÉϵÚÒ»ÓîÖæËٶȵÄ2±¶

D.ÈÆ¸ÃÍâÐÇÇòµÄÈËÔìÎÀÐǺÍÒÔÏàͬ¹ìµÀ°ë¾¶ÈƵØÇòµÄÈËÔìÎÀÐÇÔËÐÐËÙ¶ÈÏàͬ

 

²é¿´´ð°¸ºÍ½âÎö>>

ͬ²½Á·Ï°²á´ð°¸