精英家教网 > 高中物理 > 题目详情
科学家设想在未来的航天事业中用太阳帆来加速星际宇宙飞船。按照近代光的粒子说,光由光子组成,飞船在太空中张开太阳帆,使太阳光垂直射到太阳帆上,太阳帆面积为s,太阳帆对光的反射率为100%,设太阳帆上每单位面积每秒到达n个光子,每个光子的动量为p,如飞船总质量为m,求飞船加速度的表达式。如太阳帆面对阳光一面是黑色的,情况又如何?
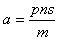
解:时间t内有nSt个光子入射到太阳帆上,这些光子的动量变化为2pnSt,太阳帆对这些光子的作用力为F,由动量定理得
Ft=2pnSt,F=2pnS
所以太阳帆的加速度
如太阳帆面对太阳光一面是黑色的,即光子照射后被完全吸收,时间t内光子的动量变化为pnSt
同理可得太阳帆的加速度为
练习册系列答案
相关习题

科目:高中物理 来源: 题型:

光是由没有静态质量但有动量的光子构成,当光子撞击光滑的物体平面时,可以像从墙上反弹回来的乒乓球一样改变运动方向,并给撞击物体以相应的推动作用力。单个光子产生的推力极其微小,在太阳到地球的距离上,众多光子在1平方米帆面上产生的推力只有,还不足一只蚂蚁的重量,加速度很小,但根据速度=加速度×时间的公式,只要时间足够长,太阳帆最终能达到一定速度。科学家设想未来的宇宙航事业中利用太阳帆来加速星际飞船。如果帆是白色的,反射全部光子,如果帆是黑色,那么反射光子数忽略不计,设太阳光是垂直入射帆面的。则下列说法正确的是(    )

A.白色帆面所受推力大

B.黑色帆面所受推力大

C.两种帆面所受推力一样大

D.无法确定哪种帆面所受推力大

查看答案和解析>>

同步练习册答案