精英家教网 > 高中物理 > 题目详情
在某中学举办的智力竞赛中,有一个叫做“保护鸡蛋”的竞赛项目。要求制作一个装置,让鸡蛋从两层楼的高度落到地面且不被摔坏。如果没有保护,鸡蛋最多只能从0.1 m的高度落到地面而不被摔坏。有一位同学设计了如图所示的一个装置来保护鸡蛋,用A、B两块较粗糙的夹板夹住鸡蛋,A夹板和B夹板与鸡蛋之间的摩擦力都为鸡蛋重力的5倍。现将该装置从距地面4 m的高处落下,装置着地时间短且保持竖直不被弹起。取g=10 m/s2,不考虑空气阻力,求:
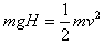
(1)如果没有保护,鸡蛋直接撞击地面而不被摔坏,其速度最大不能超过多少?
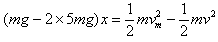
(2)如果使用该装置,鸡蛋夹放的位置离装置下端的距离x至少为多少米?(保留三位有效数字)
解:(1)如果没有保护,鸡蛋直接撞击地面而不被摔坏,其速度最大为鸡蛋从高度h=0.1m处自由落地时的速度,即
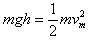
(2)装置从高度H=4 m处落到地面时,鸡蛋的速度为v

装置与地面作用过程中,鸡蛋从离地x处滑到地面时速度只要小于就不会被摔坏,于是

x=0.433 m
练习册系列答案
相关习题

科目:高中物理 来源: 题型:

精英家教网在某中学举办的智力竞赛中,有一个叫做“保护鸡蛋”的竞赛项目.要求制作一个装置,让鸡蛋从两层楼的高度落到地面且不被摔坏.如果没有保护,鸡蛋最多只能从0.1m的高度落到地面而不被摔坏.有一位同学设计了如图所示的一个装置来保护鸡蛋,用A、B两块较粗糙的夹板夹住鸡蛋,A夹板和B夹板与鸡蛋之间的摩擦力都为鸡蛋重力的5倍.现将该装置从距地面4m的高处落下,装置着地时间短且保持竖直不被弹起.取g=10m/s2,不考虑空气阻力,求:
(1)若想让鸡蛋直接撞击地面而不被摔坏,其撞地前瞬间的速度最大不能超过多少?
(2)如果使用该装置去保护鸡蛋,鸡蛋夹放的位置离装置下端的距离x至少为多少米?

查看答案和解析>>

科目:高中物理 来源: 题型:

在某中学举办的智力竞赛中,有一个叫做“保护鸡蛋”的竞赛项目。要求制作一个装置,让鸡蛋从两层楼的高度落到地面且不被摔坏。如果没有保护,鸡蛋最多只能从0.1 m的高度落到地面而不被摔坏。有一位同学设计了如图所示的一个装置来保护鸡蛋,用A、B两块较粗糙的夹板夹住鸡蛋,A夹板和B夹板与鸡蛋之间的摩擦力均为鸡蛋重力的5倍。现将该装置从距地面4 m的高处落下,装置着地时间短且保持竖直不被弹起。g取10 m/s2,不考虑空气阻力,求:

(1)如果没有保护,鸡蛋直接撞击地面而不被摔坏,其速度最大不能超过多少?

(2)如果使用该装置,鸡蛋夹放的位置离装置下端距离x至少为多少?

 

查看答案和解析>>

科目:高中物理 来源: 题型:

在某中学举办的智力竞赛中,有一个叫做“保护鸡蛋”的竞赛项目。要求制作一个装置,让鸡蛋从两层楼的高度落到地面且不被摔坏。如果没有保护,鸡蛋最多只能从0.1 m的高度落到地面而不被摔坏。有一位同学设计了如图所示的一个装置来保护鸡蛋,用A、B两块较粗糙的夹板夹住鸡蛋,A夹板和B夹板与鸡蛋之间的摩擦力都为鸡蛋重力的5倍。现将该装置从距地面4 m的高处落下,装置着地时间短且保持竖直不被弹起。取g=10 m/s2,不考虑空气阻力,求:

(1)如果没有保护,鸡蛋直接撞击地面而不被摔坏,其速度最大不能超过多少?

(2)如果使用该装置,鸡蛋夹放的位置离装置下端的距离x至少为多少米?(保留三位有效数字)

 

查看答案和解析>>

科目:高中物理 来源:2011-2012学年黑龙江省哈尔滨市高三第二次模拟考试理科综合物理试卷(解析版) 题型:计算题

在某中学举办的智力竞赛中,有一个叫做“保护鸡蛋”的竞赛项目。要求制作一个装置,让鸡蛋从两层楼的高度落到地面且不被摔坏。如果没有保护,鸡蛋最多只能从0.1 m的高度落到地面而不被摔坏。有一位同学设计了如图所示的一个装置来保护鸡蛋,用A、B两块较粗糙的夹板夹住鸡蛋,A夹板和B夹板与鸡蛋之间的摩擦力均为鸡蛋重力的5倍。现将该装置从距地面4 m的高处落下,装置着地时间短且保持竖直不被弹起。g取10 m/s2,不考虑空气阻力,求:

(1)如果没有保护,鸡蛋直接撞击地面而不被摔坏,其速度最大不能超过多少?

(2)如果使用该装置,鸡蛋夹放的位置离装置下端距离x至少为多少?

 

查看答案和解析>>

科目:高中物理 来源:2011-2012学年河北省高三新课标高考模拟理科综合物理试卷(解析版) 题型:计算题

(13分)

在某中学举办的智力竞赛中,有一个叫做“保护鸡蛋”的竞赛项目。要求制作一个装置,让鸡蛋从两层楼的高度落到地面且不被摔坏。如果没有保护,鸡蛋最多只能从0.1 m的高度落到地面而不被摔坏。有一位同学设计了如图所示的一个装置来保护鸡蛋,用AB两块较粗糙的夹板夹住鸡蛋,A夹板和B夹板与鸡蛋之间的摩擦力均为鸡蛋重力的5倍。现将该装置从距地面4 m的高处落下,装置着地时间短且保持竖直不被弹起。g取10 m/s2,不考虑空气阻力,求:

(1)如果没有保护,鸡蛋直接撞击地面而不被摔坏,其速度最大不能超过多少?

(2)如果使用该装置,鸡蛋夹放的位置离装置下端距离x至少为多少?

 

查看答案和解析>>

同步练习册答案