精英家教网 > 高中物理 > 题目详情
在核反应堆中,常用减速剂使快中子减速。假设减速剂的原子核质量是中子的k倍,中子与原子核的每次碰撞都可看成是弹性正碰,设每次碰撞前原子核可认为是静止的。求N次碰撞后中子速率与原速率之比。
解:设中子和作减速剂的物质的原子核A的质量分别为,碰撞后速度分别为,碰撞前后的总动量和总能量守恒,有
       ①
       ②
      式中为碰撞前中子速度,由题设
       ③
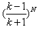
      由①②③式得,经1次碰撞后中子速率与原速率之比为
       ④
      经N次碰撞后,中子速率与原速率之比为
       ⑤
练习册系列答案
相关习题

科目:高中物理 来源: 题型:

在核反应堆中,常用减速剂使快中子减速.假设减速剂的原子核质量是中子的k倍.中子与原子核的每次碰撞都可看成是弹性正碰.设每次碰撞前原子核可认为是静止的,求N次碰撞后中子速率与原速率之比.

查看答案和解析>>

科目:高中物理 来源: 题型:

(1)能量为Ei的光子照射基态氢原子,刚好可使该原子中的电子成为自由电子.这一能 Ei称为氢的电离能.现用一频率为ν的光子从基态氢原子中击出了一电子,该电子在远离核以后速度的大小为
 
(用光子频率ν、电子质量m、氢原子的电离能Ei和普朗克常量h表示).
(2)在核反应堆中,常用减速剂使快中子减速.假设减速剂的原子核质量是中子的k倍.中子与原子核的每次碰撞都可看成是弹性正碰.设每次碰撞前原子核可认为是静止的,求N次碰撞后中子速率与原速率之比.

查看答案和解析>>

科目:高中物理 来源: 题型:

在核反应堆中,常用减速剂使快中子减速.假设减速剂的原子核质量是中子的倍.中子与原子核的每次碰撞都可看成是弹性正碰.设每次碰撞前原子核可认为是静止的,求次碰撞后中子速率与原速率之比.

查看答案和解析>>

科目:高中物理 来源:2010年高考试题(海南卷)解析版 题型:计算题

 模块3一5试题(12分)

(1)(4分)能量为的光子照射基态氢原子,刚好可使该原子中的电子成为自由电子.这一能 称为氢的电离能.现用一频率为的光子从基态氢原子中击出了一电子,该电子在远离核以后速度的大小为_______________(用光子频率、电子质量、氢原子的电离能和普朗克常量表示)。

 

 (2) (8分)在核反应堆中,常用减速剂使快中子减速.假设减速剂的原子核质量是中子的倍.中子与原子核的每次碰撞都可看成是弹性正碰.设每次碰撞前原子核可认为是静止的,求次碰撞后中子速率与原速率之比.

 

 

 

 

 

 

查看答案和解析>>

科目:高中物理 来源:2010年普通高等学校招生全国统一考试(海南卷)物理试题 题型:计算题

模块3—5试题(12分)
(1)(4分)能量为Ei的光子照射基态氢原子,刚好可使该原子中的电子成为自由电子,这一能量Ei称为氢的电离能。现用一频率为v的光子从基态氢原子中击出了一电子,该电子在远离核以后速度的大小为          (用光子频率v、电子质量m、氢的电离能Ei与普朗克常量h表示)
(2)(8分)在核反应堆中,常用减速剂使快中子减速。假设减速剂的原子核质量是中子的k倍,中子与原子核的每次碰撞都可看成是弹性正磁。设每次碰撞前原子核可认为是静止的,求N次碰撞后中子速率与原速率之比。

查看答案和解析>>

同步练习册答案