精英家教网 > 高中物理 > 题目详情
火车沿平直铁轨匀加速前进,当车头到达某一路标时,火车的速度为3m/s,1min后变成15m/s,又需经多少时间,火车的速度才能达到18m/s?
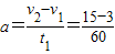
【答案】分析:根据加速度的定义式求出加速度.
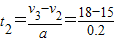
根据匀变速直线运动的速度时间公式求得时间.
解答:解:根据加速度的定义式得
m/s2=0.2m/s2
s=15s.
答:需经15s时间,火车的速度才能达到18m/s.
点评:解决本题的关键掌握匀变速直线运动的速度时间公式.
练习册系列答案
相关习题

科目:高中物理 来源: 题型:

火车沿平直铁轨匀加速前进,当车头到达某一路标时,火车的速度为3m/s,1min后变成15m/s,又需经多少时间,火车的速度才能达到18m/s?

查看答案和解析>>

科目:高中物理 来源: 题型:

火车沿平直铁轨匀加速前进,通过某一路标时,速度为10.8 km/h,1 min后变成54 km/h.求还需要经过多长时间,火车的速度才能达到64.8 km/h?

查看答案和解析>>

科目:高中物理 来源: 题型:

火车沿平直铁轨匀加速前进,通过某一路标时的速度为10.8 km/h,1 min后变成 54 km/h,再经一段时间,火车的速度达到 64.8 km/h。求所述过程中,火车的位移是多少。

查看答案和解析>>

科目:高中物理 来源: 题型:

火车沿平直铁轨匀加速前进,通过某一路标时的速度为10.8 km/h,1 min后变成54 km/h,又需经多长时间,火车的速度才能达到64.8 km/h?

查看答案和解析>>

科目:高中物理 来源: 题型:

火车沿平直铁轨匀加速前进,通过某一路标时的速度为10.8km/h,1min后变成 54km/h,再经一段时间,火车的速度达到64 .8km/h。求所述过程中,火车的位移是多少?

查看答案和解析>>

同步练习册答案