精英家教网 > 高中物理 > 题目详情

一平行板电容器中存在匀强电场,电场沿竖直方向。两个比荷(即粒子的电荷量与质量之比)不同的带正电的粒子a和b,从电容器边缘的P点(如图)以相同的水平速度射入两平行板之间。测得a和b与电容器的撞击点到入射点之间的水平距离之比为1∶2。若不计重力,则a和b的比荷之比是      

A.1∶2             B.1∶1      C.2∶1     D.4∶1

 

【答案】

D

【解析】

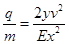
试题分析:带电粒子在电场中偏转,加速度为 ,在水平方向有:,竖直方向有:,联立得粒子的比荷为:达到极板上时,两个粒子的偏转量是相等的,速度相等,场强相等,所以比荷之比等于水平位移的平方反比,所以应为4:1,D正确,ABC错误。

考点:本题考查了带电粒子在电场中的偏转

 

练习册系列答案
相关习题

科目:高中物理 来源: 题型:

一平行板电容器中存在匀强电场,电场沿竖直方向.两个比荷(即粒子的电荷量与质量之比)不同的带正电的粒子a和b,从电容器边缘的P点(如图)以相同的水平速度射入两平行板之间.测得a和b与电容器的撞击点到入射点之间的水平距离之比为1:2.若不计重力,则a和b的比荷之比是(  )

查看答案和解析>>

科目:高中物理 来源: 题型:

(2007?海南)一平行板电容器中存在匀强电场,电场沿竖直方向.两个比荷(即粒子的电荷量与质量之比)不同的带正电的粒子a和b,从电容器的P点(如图)以相同的水平速度射入两平行板之间.测得a和b与电容极板的撞击点到入射点之间的水平距离之比为1:2.若不计重力,则a和b的比荷之比是(  )

查看答案和解析>>

科目:高中物理 来源: 题型:

一平行板电容器中存在匀强电场,电场沿竖直方向.两个比荷(即粒子的电荷量与质量之比)不同带正电的粒子K和P,速度关系为VK=2Vp,粒子均从电容器的A点水平射入两平行板之间,测得K和P与平行板的撞击点到入射点之间的水平距离之比为1:2.如图,若不计粒子的重力,则K和P的比荷之比是(  )

查看答案和解析>>

科目:高中物理 来源:2012-2013学年福建省厦门六中高二上学期期中考试物理试卷(带解析) 题型:单选题

一平行板电容器中存在匀强电场,电场沿竖直方向。两个比荷(即粒子的电荷量与质量之比)不同带正电的粒子K和P,速度关系为V­K=2Vp粒子均从电容器的A点水平射入两平行板之间, 测得K和P与平行板的撞击点到入射点之间的水平距离之比为1:2。如图,若不计粒子的重力,则K和P的比荷之比是

A.1:4              B.4:1          C.1:16   D.16:1 

查看答案和解析>>

科目:高中物理 来源:2013届四川省高二上学期第一次月考考试物理卷 题型:选择题

一平行板电容器中存在匀强电场,电场沿竖直方向。两个比荷(即粒子的电荷量与质量之比)不同的带正电的粒子ab,从电容器边缘的P点(如图)以相同的水平速度射入两平行板之间。测得ab与电容器极板的撞击点到入射点之间的水平距离之比为1∶2。若不计重力,则ab的比荷之比是  

A.1∶2              B.1∶1

C.2∶1              D.4∶1

 

查看答案和解析>>

同步练习册答案