精英家教网 > 高中物理 > 题目详情
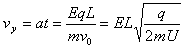
如图所示,一质量为m,电量为q的带电粒子从静止出发被电压为U的电场加速,然后垂直进入另一个电场强度为E的匀强偏转电场,已知偏转电极长L。求电子离开偏转电场时的速度及其与起始速度方向之间的夹角?
解:由动能定理,得
所以
当飞出偏转电场时,该粒子在竖直方向的分速度

所以
 
练习册系列答案
相关习题

科目:高中物理 来源: 题型:

如图所示,一质量为m,带电荷量为+q的小物体,在水平方向的匀强磁场B中,从倾角为
mg
IL
=
0.4
2×0.2
的绝缘光滑足够长的斜面上由静止开始下滑,求:
(1)此物体在斜面Q上运动的最大速度.
(2)此物体在斜面上运动的距离.
(3)此物体在斜面上运动的时间.

查看答案和解析>>

科目:高中物理 来源: 题型:

如图所示,一质量为m=0.016kg、长L=0.5m、宽d=0.1m、电阻R=0.1Ω的矩形线圈,从h1=5m的高处由静止开始下落,然后进入高度为h2(h2>L)的匀强磁场.下边刚进入磁场时,线圈正好作匀速运动.线圈的下边通过磁场所经历的时间t=0.15s.取g=10m/s2
(1)求匀强磁场的磁感应强度B.
(2)求线圈的下边刚离开磁场的瞬间,线圈的加速度的大小和方向.
(3)在线圈的下边通过磁场的过程中,线圈中产生的焦耳热Q是多少?通过线圈的电荷量q是多少?

查看答案和解析>>

科目:高中物理 来源: 题型:

如图所示,一质量为m的物块恰好沿着倾角为θ的斜面匀速下滑.现对物块施加一个竖直向下的恒力F.则物块(  )

查看答案和解析>>

科目:高中物理 来源: 题型:

如图所示,一质量为m的小球,用长为l的轻绳悬挂于O点,小球在水平恒力F的作用下,从最低点A点拉至B点的过程中,力F所做的功为(  )

查看答案和解析>>

科目:高中物理 来源: 题型:

精英家教网如图所示,一质量为m=1.0×10-2kg,带电量为q=1.0×10-6C的小球,用绝缘细线悬挂在水平向右的匀强电场中,假设电场足够大,静止时悬线向左与竖直方向成37°角.小球在运动过程电量保持不变,重力加速度g取10m/s2
(1)求电场强度E.
(2)若在某时刻将细线突然剪断,求经过1s时小球的速度大小v及方向.(sin37°=0.6,cos37°=0.8)

查看答案和解析>>

同步练习册答案