精英家教网 > 高中物理 > 题目详情

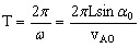
在水平光滑的细直角槽中嵌入两个质量相等的小物体A和B,如图所示,它们之间用一长为L、质量可以忽略的刚性细杆铰接,铰接处在A、B滑动时可自由转动.已知当细杆与x轴的央角为α0时,A有一个沿x轴负方向的速度vAO,试证明:(1)细杆中点C将作圆周蒯运动.(2)A、B各自作简谐运动,且用L、α0、vAO来表示两物体的运动剧期T.

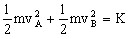
(1)设C点坐标为(xC、yC),xC2+yC2=L2/4,这说明C点的轨迹是一个半径为L/2的圆(2)因为杆不可压缩,所以vA和vB沿杆方向的分量应相等,即vAcosα=vBsinα,vA=vBtanα.对A、B组成的系统来说机械能守恒(常数),其中vA=2vCx,vB=2vCy,故vC2=K′(常数).C作匀速圆周运动,故A、B均为简谐运动.由于,

练习册系列答案
相关习题

科目:高中物理 来源:新五星级题库高中物理 题型:038

在水平光滑的细直角槽中嵌入两个质量相等的小物体AB,如图所示,它们之间用一长为L、质量可以忽略的刚性细杆铰接,铰接处在AB滑动时可自由转动.已知当细杆与x轴的央角为α0时,A有一个沿x轴负方向的速度vAO,试证明:

(1)细杆中点C将作圆周蒯运动.

(2)AB各自作简谐运动,且用L、α0vAO来表示两物体的运动剧期T

查看答案和解析>>

同步练习册答案