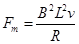
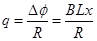
Èçͼ£¬×ã¹»³¤µÄUÐ͹⻬½ðÊôµ¼¹ìÆ½ÃæÓëË®Æ½Ãæ³É
½Ç£¨0£¼
£¼90¡ã),ÆäÖÐMNÓëPQƽÐÐÇÒ¼ä¾àΪL£¬µ¼¹ìÆ½ÃæÓë´Å¸ÐӦǿ¶ÈΪBµÄÔÈÇ¿´Å³¡´¹Ö±£¬µ¼¹ìµç×è²»¼Æ¡£½ðÊô°ô
Óɾ²Ö¹¿ªÊ¼Ñص¼¹ìÏ»¬£¬²¢ÓëÁ½µ¼¹ìʼÖÕ±£³Ö´¹Ö±ÇÒÁ¼ºÃ½Ó´¥£¬
°ô½ÓÈëµç·µÄµç×èΪR£¬µ±Á÷¹ý
°ôijһºá½ØÃæµÄµçÁ¿Îªqʱ£¬ËüµÄËÙ¶È´óСΪ
£¬Ôò½ðÊô°ô
ÔÚÕâÒ»¹ý³ÌÖÐ £¨
£©
![]()
A.FÔ˶¯µÄƽ¾ùËÙ¶È´óСΪ![]()
B. ²úÉúµÄ½¹¶ûÈÈΪ![]()
C. ƽ»¬Î»ÒÆ´óСΪ![]()
D.Êܵ½µÄ×î´ó°²ÅàÁ¦´óСΪ![]()
C
¡¾½âÎö¡¿
ÊÔÌâ·ÖÎö£º½ðÊô°ôab¿ªÊ¼×ö¼ÓËÙ¶ÈÖð½¥¼õСµÄ±ä¼ÓËÙÔ˶¯£¬²»ÊÇÔȱäËÙÖ±ÏßÔ˶¯£¬Æ½¾ùËٶȲ»µÈÓÚ
£¬¶øÊÇ´óÓÚ
£¬A´íÎó£»²úÉúµÄ½¹¶úÈÈ
£¬¶øÕâÀïµÄµçÁ÷I±È°ôµÄËÙ¶È´óСΪvʱµÄµçÁ÷
С£¬¹ÊÕâÒ»¹ý³Ì²úÉúµÄ½¹¶úÈÈСÓÚ
£¬B´íÎó£»ÓɵçÁ¿¼ÆË㹫ʽ
¿ÉµÃ£¬Ï»¬µÄÎ»ÒÆ´óСΪ
£»CÕýÈ·£»½ðÊô°ôabÊܵ½µÄ×î´ó°²ÅàÁ¦´óСΪ
£»D´íÎó
¿¼µã£º·¨ÀµÚµç´Å¸ÐÓ¦¶¨ÂÉ£»µç´Å¸ÐÓ¦×ÛºÏÌâÖУ¬³£³£Óõ½Õâ¸ö¾Ñ鹫ʽ£º¸ÐÓ¦µçÁ¿
£¬³£ÓÃÀ´ÇóÎ»ÒÆ£®µ«ÔÚ¼ÆËãÌâÖУ¬²»ÄÜÖ±½Ó×÷Ϊ¹«Ê½Óã¬ÒªÍƵ¼¡£
| Äê¼¶ | ¸ßÖÐ¿Î³Ì | Äê¼¶ | ³õÖÐ¿Î³Ì |
| ¸ßÒ» | ¸ßÒ»Ãâ·Ñ¿Î³ÌÍÆ¼ö£¡ | ³õÒ» | ³õÒ»Ãâ·Ñ¿Î³ÌÍÆ¼ö£¡ |
| ¸ß¶þ | ¸ß¶þÃâ·Ñ¿Î³ÌÍÆ¼ö£¡ | ³õ¶þ | ³õ¶þÃâ·Ñ¿Î³ÌÍÆ¼ö£¡ |
| ¸ßÈý | ¸ßÈýÃâ·Ñ¿Î³ÌÍÆ¼ö£¡ | ³õÈý | ³õÈýÃâ·Ñ¿Î³ÌÍÆ¼ö£¡ |
¿ÆÄ¿£º¸ßÖÐÎïÀí À´Ô´£º ÌâÐÍ£º
²é¿´´ð°¸ºÍ½âÎö>>
¿ÆÄ¿£º¸ßÖÐÎïÀí À´Ô´£º ÌâÐÍ£º
Èçͼ£¬×ã¹»³¤µÄUÐ͹⻬½ðÊôµ¼¹ìÆ½ÃæÓëË®Æ½Ãæ³É
½Ç£¨0£¼
£¼90¡ã),ÆäÖÐMNƽÐÐÇÒ¼ä¾àΪL£¬µ¼¹ìÆ½ÃæÓë´Å¸ÐӦǿ¶ÈΪBµÄÔÈÇ¿´Å³¡´¹Ö±£¬µ¼¹ìµç×è²»¼Æ¡£½ðÊô°ô
Óɾ²Ö¹¿ªÊ¼Ñص¼¹ìÏ»¬£¬²¢ÓëÁ½µ¼¹ìʼÖÕ±£³Ö´¹Ö±ÇÒÁ¼ºÃ½Ó´¥£¬
°ô½ÓÈëµç·µÄµç×èΪR£¬µ±Á÷¹ý
°ôijһºá½ØÃæµÄµçÁ¿Îªqʱ£¬°ïµÄËÙ¶È´óСΪ
£¬Ôò½ðÊô°ô
ÔÚÕâÒ»¹ý³ÌÖÐ
A.FÔ˶¯µÄƽ¾ùËÙ¶È´óСΪ
B.ƽ»¬Î»ÒÆ´óСΪ![]()
C.²úÉúµÄ½¹¶úÈÈΪ![]()
D.Êܵ½µÄ×î´ó°²ÅàÁ¦´óСΪ![]()
![]()
²é¿´´ð°¸ºÍ½âÎö>>
¿ÆÄ¿£º¸ßÖÐÎïÀí À´Ô´£º ÌâÐÍ£º
Èçͼ£¬×ã¹»³¤µÄUÐ͹⻬½ðÊôµ¼¹ìÆ½ÃæÓëË®Æ½Ãæ³É¦È½Ç(0£¼¦È£¼90¡ã)£¬ÆäÖÐMNÓëPQƽÐÐÇÒ¼ä¾àΪL£¬µ¼¹ìÆ½ÃæÓë´Å¸ÐӦǿ¶ÈΪBµÄÔÈÇ¿´Å³¡´¹Ö±£¬µ¼¹ìµç×è²»¼Æ£®½ðÊô°ôabÓɾ²Ö¹¿ªÊ¼Ñص¼¹ìÏ»¬£¬²¢ÓëÁ½µ¼¹ìʼÖÕ±£³Ö´¹Ö±ÇÒÁ¼ºÃ½Ó´¥£¬ab°ô½ÓÈëµç·µÄµç×èΪR£¬µ±Á÷¹ýab°ôijһºá½ØÃæµÄµçÁ¿Îªqʱ£¬°ôµÄËÙ¶È´óСΪv£¬Ôò½ðÊô°ôabÔÚÕâÒ»¹ý³ÌÖÐ(¡¡¡¡)
A£®Ô˶¯µÄƽ¾ùËÙ¶È´óСΪ
B£®Ï»¬µÄÎ»ÒÆ´óСΪ![]()
C£®²úÉúµÄ½¹¶úÈÈΪqBLv D£®Êܵ½µÄ×î´ó°²ÅàÁ¦´óСΪ![]()
²é¿´´ð°¸ºÍ½âÎö>>
¿ÆÄ¿£º¸ßÖÐÎïÀí À´Ô´£º ÌâÐÍ£º
£®Èçͼ£¬×ã¹»³¤µÄUÐ͹⻬½ðÊôµ¼¹ìÆ½ÃæÓëË®Æ½Ãæ³É¦È½Ç£¨0 <¦È <90¡ã)£¬ÆäÖÐMNÓëPQƽÐÐÇÒ¼ä¾àΪL£¬µ¼¹ìÆ½ÃæÓë´Å¸ÐӦǿ¶ÈΪBµÄÔÈÇ¿´Å³¡´¹Ö±£¬µ¼¹ìµç×è²»¼Æ¡£½ðÊô°ôabÓɾ²Ö¹¿ªÊ¼Ñص¼¹ìÏ»¬£¬²¢ÓëÁ½µ¼¹ìʼÖÕ±£³Ö´¹Ö±ÇÒÁ¼ºÃ½Ó´¥£¬ab°ô½ÓÈëµç·µÄµç×èΪR£¬µ±Á÷¹ýab°ôijһºá½ØÃæµÄµçÁ¿Îªqʱ£¬°ôµÄËÙ¶È´óСΪv£¬Ôò½ðÊô°ôabÔÚÕâÒ»¹ý³ÌÖÐ
A£®Ô˶¯µÄƽ¾ùËÙ¶È´óСΪ
B£®Ï»¬Î»ÒÆ´óСΪ![]()
C£®²úÉúµÄ½¹¶úÈÈΪqBLv
D£®Êܵ½µÄ×î´ó°²ÅàÁ¦´óСΪ![]()
²é¿´´ð°¸ºÍ½âÎö>>
¿ÆÄ¿£º¸ßÖÐÎïÀí À´Ô´£º2011Ä긣½¨¸ß¿¼ÎïÀí ÌâÐÍ£ºÑ¡ÔñÌâ
£®Èçͼ£¬×ã¹»³¤µÄUÐ͹⻬½ðÊôµ¼¹ìÆ½ÃæÓëË®Æ½Ãæ³É¦È½Ç£¨0 <¦È <90¡ã)£¬ÆäÖÐMNÓëPQƽÐÐÇÒ¼ä¾àΪL£¬µ¼¹ìÆ½ÃæÓë´Å¸ÐӦǿ¶ÈΪBµÄÔÈÇ¿´Å³¡´¹Ö±£¬µ¼¹ìµç×è²»¼Æ¡£½ðÊô°ôabÓɾ²Ö¹¿ªÊ¼Ñص¼¹ìÏ»¬£¬²¢ÓëÁ½µ¼¹ìʼÖÕ±£³Ö´¹Ö±ÇÒÁ¼ºÃ½Ó´¥£¬ab°ô½ÓÈëµç·µÄµç×èΪR£¬µ±Á÷¹ýab°ôijһºá½ØÃæµÄµçÁ¿Îªqʱ£¬°ôµÄËÙ¶È´óСΪv£¬Ôò½ðÊô°ôabÔÚÕâÒ»¹ý³ÌÖÐ
A£®Ô˶¯µÄƽ¾ùËÙ¶È´óСΪ
B£®Ï»¬Î»ÒÆ´óСΪ![]()
C£®²úÉúµÄ½¹¶úÈÈΪqBLv
D£®Êܵ½µÄ×î´ó°²ÅàÁ¦´óСΪ![]()
²é¿´´ð°¸ºÍ½âÎö>>
¹ú¼ÊѧУÓÅÑ¡ - Á·Ï°²áÁбí - ÊÔÌâÁбí
ºþ±±Ê¡»¥ÁªÍøÎ¥·¨ºÍ²»Á¼ÐÅÏ¢¾Ù±¨Æ½Ì¨ | ÍøÉÏÓк¦ÐÅÏ¢¾Ù±¨×¨Çø | µçÐÅթƾٱ¨×¨Çø | ÉæÀúÊ·ÐéÎÞÖ÷ÒåÓк¦ÐÅÏ¢¾Ù±¨×¨Çø | ÉæÆóÇÖȨ¾Ù±¨×¨Çø
Î¥·¨ºÍ²»Á¼ÐÅÏ¢¾Ù±¨µç»°£º027-86699610 ¾Ù±¨ÓÊÏ䣺58377363@163.com