ÀûÓÃͼ1×°ÖÃÑéÖ¤»úеÄÜÊØºã¶¨ÂÉ¡£
£¨1£©´òµã¼ÆÊ±Æ÷Ó¦½Ó______________£¨Ìî¡°½»Á÷¡±»ò¡°Ö±Á÷¡±£©µçÔ´¡£
£¨2£©ÊµÑ鲿·Ö²½ÖèÈçÏ£º
A£®°´Í¼1×°ÖÃÑØÊúÖ±·½Ïò¹Ì¶¨ºÃ´òµã¼ÆÊ±Æ÷£¬°ÑÖ½´øÏ¶˹ÒÉÏÖØÎ´©¹ý´òµã¼ÆÊ±Æ÷¡£
B£®½«Ö½´øÏ¶˿¿½ü´òµã¼ÆÊ±Æ÷¸½½ü¾²Ö¹£¬_______________£¬______________´òµã¼ÆÊ±Æ÷ÔÚÖ½´øÉÏ´òÏÂһϵÁеĵ㡣
C£®Í¼2Ϊ´ò³öµÄÒ»ÌõÖ½´ø£¬ÓÃ________________²â³öA¡¢B¡¢CÓëÆðʼµãOÖ®¼äµÄ¾àÀë·Ö±ðΪh1£¬h2£¬h3¡£
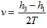
£¨3£©Éè´òµã¼ÆÊ±Æ÷µÄÖÜÆÚΪT£¬ÖØÎïÖÊÁ¿Îªm£¬ÖØÁ¦¼ÓËÙ¶ÈΪg£¬ÔòÖØÎïÏÂÂäµ½BµãʱµÄËÙ¶È________________¡£Ñо¿Ö½´ø´ÓOÏÂÂäµ½B¹ý³ÌÖÐÔö¼ÓµÄ¶¯ÄÜ________________£¬¼õÉÙµÄÖØÁ¦ÊÆÄÜ_________________¡£
£¨4£©ÓÉÓÚÖ½´øÊܵ½µÄĦ²Á£¬ÊµÑé²âµÃµÄ____________£¨Ìî¡°´óÓÚ¡±»ò¡°Ð¡ÓÚ¡±£©¡£
£¨1£©½»Á÷
£¨2£©½ÓͨµçÔ´£»ÊÍ·ÅÖ½´ø£»¿Ì¶È³ß
£¨3£©£»£»
£¨4£©Ð¡ÓÚ
Á·Ï°²áϵÁдð°¸
Ïà¹ØÏ°Ìâ

¿ÆÄ¿£º¸ßÖÐÎïÀí À´Ô´£º ÌâÐÍ£º

£¨2011?½­ËÕÄ£Ä⣩Ïñ´òµã¼ÆÊ±Æ÷Ò»Ñù£¬¹âµç¼ÆÊ±Æ÷Ò²ÊÇÒ»ÖÖÑо¿ÎïÌåÔ˶¯Çé¿öµÄ³£¼û¼ÆÊ±ÒÇÆ÷£¬Ã¿¸ö¹âµçÃŶ¼ÓɹⷢÉäºÍ½ÓÊÕ×°ÖÃ×é³É£®µ±ÓÐÎïÌå´Ó¹âµçÃÅÖмäͨ¹ýʱ£¬ÓëÖ®ÏàÁ¬µÄ¼ÆÊ±Æ÷¾Í¿ÉÒÔÏÔʾÎïÌåµÄµ²¹âʱ¼ä£®Èçͼ¼×Ëùʾ£¬Í¼¼×ÖÐNMÊÇˮƽ×ÀÃæ¡¢PMÊÇÒ»¶Ë´øÓл¬Âֵij¤Ä¾°å£¬1¡¢2Êǹ̶¨ÔÚľ°åÉÏÏà¾àΪlµÄÁ½¸ö¹âµçÃÅ£¨ÓëÖ®Á¬½ÓµÄ¼ÆÊ±Æ÷ûÓл­³ö£©£®»¬¿éAÉϹ̶¨×ÅÓÃÓÚµ²¹âµÄխƬK£¬Èû¬¿éAÔÚÖØÎïBµÄÇ£ÒýÏ´Óľ°åµÄ¶¥¶Ë»¬Ï£¬¼ÆÊ±Æ÷·Ö±ðÏÔʾխƬKͨ¹ý¹âµçÃÅ1ºÍ¹âµçÃÅ2µÄµ²¹âʱ¼ä·Ö±ðΪt1=2.50¡Á10-2s¡¢t2=1.25¡Á10-2s£»
£¨1£©ÓÃÓα꿨³ß²âÁ¿Õ­Æ¬KµÄ¿í¶È£¨ÈçͼÒÒ£©d=
5.15¡Á10-3
5.15¡Á10-3
m£¨ÒÑÖªl£¾£¾d£©£»
£¨2£©ÓÃÃ׳߲âÁ¿Á½¹âµçÃŵļä¾àΪl=20cm£¬Ôò»¬¿éµÄ¼ÓËÙ¶Èa=
0.32
0.32
m/s2£¨±£ÁôÁ½Î»ÓÐЧÊý×Ö£©£»
£¨3£©ÀûÓøÃ×°Öû¹¿ÉÒÔÍê³ÉµÄʵÑéÓУº
ACE
ACE

A£®Ñé֤ţ¶ÙµÚ¶þ¶¨ÂÉ
B£®ÑéÖ¤A¡¢B×é³ÉµÄϵͳ»úеÄÜÊØºã
C£®²â¶¨»¬¿éÓëľ°åÖ®¼äµÄ¶¯Ä¦²ÁÒòÊý
D£®Ö»ÓÐľ°å¹â»¬£¬²Å¿ÉÒÔÑé֤ţ¶ÙµÚ¶þ¶¨ÂÉ
E£®Ö»ÓÐľ°å¹â»¬£¬²Å¿ÉÒÔÑéÖ¤A¡¢B×é³ÉµÄϵͳ»úÐµÊØºã¶¨ÂÉ£®

²é¿´´ð°¸ºÍ½âÎö>>

¿ÆÄ¿£º¸ßÖÐÎïÀí À´Ô´£º2012½ì¶È¼ªÁÖÊ¡¼ªÁÖÊиßÈýÉÏѧÆÚÆÚÄ©½ÌѧÖÊÁ¿¼ì²âÎïÀí¾í ÌâÐÍ£ºÊµÑéÌâ

ijʵÑéС×éÀûÓÃÈçͼ¼×ËùʾµÄʵÑé×°ÖÃÀ´ÑéÖ¤¹³ÂëºÍ»¬¿éËù×é³ÉµÄϵͳ»úе

ÄÜÊØºã

1.ÈçͼÒÒËùʾ£¬ÓÃÓα꿨³ß²âµÃÕÚ¹âÌõµÄ¿í¶Èd=       mm£»ÊµÑéʱ½«»¬¿é´ÓͼʾλÖÃÓɾ²Ö¹ÊÍ·Å£¬ÓÉÊý×Ö¼ÆÊ±Æ÷¶Á³öÕÚ¹âÌõͨ¹ý¹âµçÃŵÄʱ¼ä¦¤t=1.2¡Á10-2s£¬Ôò»¬¿é¾­¹ý¹âµçÃÅʱµÄ˲ʱËÙ¶ÈΪ        m/s£®ÔÚ±¾´ÎʵÑéÖл¹ÐèÒª²âÁ¿µÄÎïÀíÁ¿ÓУº¹³ÂëµÄÖÊÁ¿m¡¢         ºÍ         £¨ÎÄ×Ö˵Ã÷²¢ÓÃÏàÓ¦µÄ×Öĸ±íʾ£©£®

2.±¾ÊµÑéͨ¹ý±È½Ï            ºÍ             ÔÚʵÑéÎó²îÔÊÐíµÄ·¶Î§ÄÚÏàµÈ£¨ÓòâÁ¿µÄÎïÀíÁ¿·ûºÅ±íʾ£©£¬´Ó¶øÑéÖ¤ÁËϵͳµÄ»úеÄÜÊØºã£®

 

²é¿´´ð°¸ºÍ½âÎö>>

¿ÆÄ¿£º¸ßÖÐÎïÀí À´Ô´£º½­ËÕÄ£Äâ ÌâÐÍ£ºÎÊ´ðÌâ

Ïñ´òµã¼ÆÊ±Æ÷Ò»Ñù£¬¹âµç¼ÆÊ±Æ÷Ò²ÊÇÒ»ÖÖÑо¿ÎïÌåÔ˶¯Çé¿öµÄ³£¼û¼ÆÊ±ÒÇÆ÷£¬Ã¿¸ö¹âµçÃŶ¼ÓɹⷢÉäºÍ½ÓÊÕ×°ÖÃ×é³É£®µ±ÓÐÎïÌå´Ó¹âµçÃÅÖмäͨ¹ýʱ£¬ÓëÖ®ÏàÁ¬µÄ¼ÆÊ±Æ÷¾Í¿ÉÒÔÏÔʾÎïÌåµÄµ²¹âʱ¼ä£®Èçͼ¼×Ëùʾ£¬Í¼¼×ÖÐNMÊÇˮƽ×ÀÃæ¡¢PMÊÇÒ»¶Ë´øÓл¬Âֵij¤Ä¾°å£¬1¡¢2Êǹ̶¨ÔÚľ°åÉÏÏà¾àΪlµÄÁ½¸ö¹âµçÃÅ£¨ÓëÖ®Á¬½ÓµÄ¼ÆÊ±Æ÷ûÓл­³ö£©£®»¬¿éAÉϹ̶¨×ÅÓÃÓÚµ²¹âµÄխƬK£¬Èû¬¿éAÔÚÖØÎïBµÄÇ£ÒýÏ´Óľ°åµÄ¶¥¶Ë»¬Ï£¬¼ÆÊ±Æ÷·Ö±ðÏÔʾխƬKͨ¹ý¹âµçÃÅ1ºÍ¹âµçÃÅ2µÄµ²¹âʱ¼ä·Ö±ðΪt1=2.50¡Á10-2s¡¢t2=1.25¡Á10-2s£»
£¨1£©ÓÃÓα꿨³ß²âÁ¿Õ­Æ¬KµÄ¿í¶È£¨ÈçͼÒÒ£©d=______m£¨ÒÑÖªl£¾£¾d£©£»
£¨2£©ÓÃÃ׳߲âÁ¿Á½¹âµçÃŵļä¾àΪl=20cm£¬Ôò»¬¿éµÄ¼ÓËÙ¶Èa=______m/s2£¨±£ÁôÁ½Î»ÓÐЧÊý×Ö£©£»
£¨3£©ÀûÓøÃ×°Öû¹¿ÉÒÔÍê³ÉµÄʵÑéÓУº______
A£®Ñé֤ţ¶ÙµÚ¶þ¶¨ÂÉ
B£®ÑéÖ¤A¡¢B×é³ÉµÄϵͳ»úеÄÜÊØºã
C£®²â¶¨»¬¿éÓëľ°åÖ®¼äµÄ¶¯Ä¦²ÁÒòÊý
D£®Ö»ÓÐľ°å¹â»¬£¬²Å¿ÉÒÔÑé֤ţ¶ÙµÚ¶þ¶¨ÂÉ
E£®Ö»ÓÐľ°å¹â»¬£¬²Å¿ÉÒÔÑéÖ¤A¡¢B×é³ÉµÄϵͳ»úÐµÊØºã¶¨ÂÉ£®
¾«Ó¢¼Ò½ÌÍø

²é¿´´ð°¸ºÍ½âÎö>>

¿ÆÄ¿£º¸ßÖÐÎïÀí À´Ô´£º2011Äê½­ËÕÊ¡¸ß¿¼ÎïÀíÄ£ÄâÊÔ¾í£¨Èý£©£¨½âÎö°æ£© ÌâÐÍ£º½â´ðÌâ

Ïñ´òµã¼ÆÊ±Æ÷Ò»Ñù£¬¹âµç¼ÆÊ±Æ÷Ò²ÊÇÒ»ÖÖÑо¿ÎïÌåÔ˶¯Çé¿öµÄ³£¼û¼ÆÊ±ÒÇÆ÷£¬Ã¿¸ö¹âµçÃŶ¼ÓɹⷢÉäºÍ½ÓÊÕ×°ÖÃ×é³É£®µ±ÓÐÎïÌå´Ó¹âµçÃÅÖмäͨ¹ýʱ£¬ÓëÖ®ÏàÁ¬µÄ¼ÆÊ±Æ÷¾Í¿ÉÒÔÏÔʾÎïÌåµÄµ²¹âʱ¼ä£®Èçͼ¼×Ëùʾ£¬Í¼¼×ÖÐNMÊÇˮƽ×ÀÃæ¡¢PMÊÇÒ»¶Ë´øÓл¬Âֵij¤Ä¾°å£¬1¡¢2Êǹ̶¨ÔÚľ°åÉÏÏà¾àΪlµÄÁ½¸ö¹âµçÃÅ£¨ÓëÖ®Á¬½ÓµÄ¼ÆÊ±Æ÷ûÓл­³ö£©£®»¬¿éAÉϹ̶¨×ÅÓÃÓÚµ²¹âµÄխƬK£¬Èû¬¿éAÔÚÖØÎïBµÄÇ£ÒýÏ´Óľ°åµÄ¶¥¶Ë»¬Ï£¬¼ÆÊ±Æ÷·Ö±ðÏÔʾխƬKͨ¹ý¹âµçÃÅ1ºÍ¹âµçÃÅ2µÄµ²¹âʱ¼ä·Ö±ðΪt1=2.50×10-2s¡¢t2=1.25×10-2s£»
£¨1£©ÓÃÓα꿨³ß²âÁ¿Õ­Æ¬KµÄ¿í¶È£¨ÈçͼÒÒ£©d=______m£¨ÒÑÖªl£¾£¾d£©£»
£¨2£©ÓÃÃ׳߲âÁ¿Á½¹âµçÃŵļä¾àΪl=20cm£¬Ôò»¬¿éµÄ¼ÓËÙ¶Èa=______m/s2£¨±£ÁôÁ½Î»ÓÐЧÊý×Ö£©£»
£¨3£©ÀûÓøÃ×°Öû¹¿ÉÒÔÍê³ÉµÄʵÑéÓУº______
A£®Ñé֤ţ¶ÙµÚ¶þ¶¨ÂÉ
B£®ÑéÖ¤A¡¢B×é³ÉµÄϵͳ»úеÄÜÊØºã
C£®²â¶¨»¬¿éÓëľ°åÖ®¼äµÄ¶¯Ä¦²ÁÒòÊý
D£®Ö»ÓÐľ°å¹â»¬£¬²Å¿ÉÒÔÑé֤ţ¶ÙµÚ¶þ¶¨ÂÉ
E£®Ö»ÓÐľ°å¹â»¬£¬²Å¿ÉÒÔÑéÖ¤A¡¢B×é³ÉµÄϵͳ»úÐµÊØºã¶¨ÂÉ£®

²é¿´´ð°¸ºÍ½âÎö>>

ͬ²½Á·Ï°²á´ð°¸