UÐξùÔȲ£Á§¹Ü£¬ÓÒ¶Ë·â±Õ£¬×ó¶Ë¿ª¿Ú´¦ÓÐÒ»ÖØÁ¦²»¼Æ¡¢¿É×ÔÓÉÒÆ¶¯µÄ»îÈû£¬ÖмäµÄË®ÒøÖù½«¿ÕÆø·Ö³ÉA¡¢BÁ½²¿·Ö£¬Æä ¸÷²¿·ÖµÄ³¤¶ÈÈçͼËùʾ£¬»îÈûµÄ½ØÃæ»ýΪ5.0¡Á10-5 m2£®µ±Ê±´óÆø ѹǿp0=75cmHg¡¢ÆøÎÂt0=87¡æÊ±£¬cmHg=1.33¡Á103Pa£®ÊÔÇó£º
£¨1£©A²¿·ÖÆøÌåµÄѹǿ£®
£¨2£©±£³ÖÆøÌåζȲ»±ä£¬ÓÃϸ¸ËÏòÏÂÍÆ»îÈû£¬ÖÁ¹ÜÄÚÁ½±ß¹¯Öù¸ß¶ÈÏàµÈ£¬´ËʱA²¿·ÖÆøÌåѹǿ£¿Ï¸¸Ë¶Ô»îÈûµÄÍÆÁ¦´óС£®
£¨3£©Èô²»ÓÃÍâÁ¦Íƶ¯»îÈû£¬¶øÊ¹Á½²¿·ÖÆøÌåζȾùϽµµ½t1=-3¡æ£¬»îÈû½«Òƶ¯µÄ¾àÀ룮
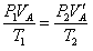
½â£º£¨1£©ÓÒ¶ËÆøÌåpA =p0+¦Ñgh=(75+25)cmHg=100 cmHg  
£¨2£©µ±Á½±ß¹¯Öù¸ß¶ÈÏàµÈʱ£¬ÓÒ¶ËÆøÖùVA'£½17.5s£¬pA'VA'£½pAVA
´úÈëÊý¾ÝµÃpA'£½171.4cmHg
×ó¶ËÆøÖùpB'£½pA'£½171.4cmHg
»îÈûÊÜÁ¦F+p0S£½pB'S
µÃF£½(pB'£­p0)S£½6.4N
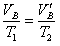
£¨3£©×ó¶ËÆøÖùµÈѹ±ä»¯£¬T1£½360K£¬VB£½4s£¬T2£½270K.

´úÈëÊý¾ÝµÃVB'£½3s£¬ÆøÖù³¤3cm
ÉèÓҶ˹¯ÖùÉÏÉýxcm£¬Ôò×ó²à¹¯ÖùϽµxcm
ÓÒ¶ËÆøÖùp1£½100cmHg£¬T1£½360K£¬VA£½30s
T2£½270K£¬VA'£½(30£­x)s£¬p2£½(100£­2x)cmHg
    
´úÈëÊý¾Ý100¡Á30/360£½(100£­2x)(30£­x)/270£¬x2£­80x+375£½0
µÃx1£½5£¬x2£½75(²»ºÏÌâÒâÉáÈ¥)
¡à »îÈûϽµ¾àÀës£½6cm
Á·Ï°²áϵÁдð°¸
Ïà¹ØÏ°Ìâ

¿ÆÄ¿£º¸ßÖÐÎïÀí À´Ô´£º ÌâÐÍ£º

UÐξùÔȲ£Á§¹Ü£¬ÓÒ¶Ë·â±Õ£¬×ó¶Ë¿ª¿Ú´¦ÓÐÒ»ÖØÁ¦²»¼Æ¡¢¿É×ÔÓÉÒÆ¶¯µÄ»îÈû£¬ÖмäµÄË®ÒøÖù½«¿ÕÆø·Ö³ÉA¡¢BÁ½²¿·Ö£¬Æä¸÷²¿·ÖµÄ³¤¶ÈÈçͼËùʾ£¬»îÈûµÄ½ØÃæ»ýΪ5.0¡Á10-5m2£®µ±Ê±´óÆøÑ¹Ç¿p0=75cmHg¡¢ÆøÎÂt0=87¡æÊ±£¬ÊÔÇó£º
£¨1£©A²¿·ÖÆøÌåµÄѹǿ£®
£¨2£©Ê¹Á½²¿·ÖÆøÌåζȾùϽµµ½t1=-3¡æ£¬»îÈû½«Òƶ¯µÄ¾àÀ룮

²é¿´´ð°¸ºÍ½âÎö>>

¿ÆÄ¿£º¸ßÖÐÎïÀí À´Ô´£º ÌâÐÍ£º

¾«Ó¢¼Ò½ÌÍøUÐξùÔȲ£Á§¹Ü£¬ÓÒ¶Ë·â±Õ£¬×ó¶Ë¿ª¿Ú´¦ÓÐÒ»ÖØÁ¦²»¼Æ¡¢¿É×ÔÓÉÒÆ¶¯µÄ»îÈû£¬ÖмäµÄË®ÒøÖù½«¿ÕÆø·Ö³ÉA¡¢BÁ½²¿·Ö£¬Æä¸÷²¿·ÖµÄ³¤¶ÈÈçͼËùʾ£¬»îÈûµÄ½ØÃæ»ýΪ5.0¡Á10-5m2£®µ±Ê±´óÆøÑ¹Ç¿p0=75cmHg¡¢ÆøÎÂt0=87¡æÊ±£¬1cmHg=1.33¡Á108Pa£®ÊÔÇó£º
£¨1£©A²¿·ÖÆøÌåµÄѹǿ£®
£¨2£©±£³ÖÆøÌåζȲ»±ä£¬ÓÃϸ¸ËÏòÏÂÍÆ»îÈû£¬ÖÁ¹ÜÄÚÁ½±ß¹¯Öù¸ß¶ÈÏàµÈ£¬´ËʱA²¿·ÖÆøÌåѹǿ£¿Ï¸¸Ë¶Ô»îÈûµÄÍÆÁ¦´óС£®
£¨3£©Èô²»ÓÃÍâÁ¦Íƶ¯»îÈû£¬¶øÊ¹Á½²¿·ÖÆøÌåζȾùϽµµ½t1=-3¡æ£¬»îÈû½«Òƶ¯µÄ¾àÀ룮

²é¿´´ð°¸ºÍ½âÎö>>

¿ÆÄ¿£º¸ßÖÐÎïÀí À´Ô´£º2012½ìºÚÁú½­Ê¡´óÇìÌúÈËÖÐѧ¸ß¶þÏÂѧÆÚÆÚÄ©¿¼ÊÔÎïÀíÊÔ¾í£¨´ø½âÎö£© ÌâÐÍ£º¼ÆËãÌâ

£¨14·Ö£©UÐξùÔȲ£Á§¹Ü£¬ÓÒ¶Ë·â±Õ£¬×ó¶Ë¿ª¿Ú´¦ÓÐÒ»ÖØÁ¦²»¼Æ¡¢¿É×ÔÓÉÒÆ¶¯µÄ»îÈû£¬ÖмäµÄË®ÒøÖù½«¿ÕÆø·Ö³ÉA¡¢BÁ½²¿·Ö£¬Æä¸÷²¿·ÖµÄ³¤¶ÈÈçͼËùʾ£¬»îÈûµÄ½ØÃæ»ýΪ5.0¡Á10-5m2£®µ±Ê±´óÆøÑ¹Ç¿cmHg¡¢ÆøÎ¡æÊ±£¬ÊÔÇó£º

£¨1£©A²¿·ÖÆøÌåµÄѹǿ£®
£¨2£©Ê¹Á½²¿·ÖÆøÌåζȾùϽµµ½¡æ£¬»îÈû½«Òƶ¯µÄ¾àÀ룮

²é¿´´ð°¸ºÍ½âÎö>>

¿ÆÄ¿£º¸ßÖÐÎïÀí À´Ô´£º2011-2012ѧÄêºÚÁú½­Ê¡¸ß¶þÏÂѧÆÚÆÚÄ©¿¼ÊÔÎïÀíÊÔ¾í£¨½âÎö°æ£© ÌâÐÍ£º¼ÆËãÌâ

£¨14·Ö£©UÐξùÔȲ£Á§¹Ü£¬ÓÒ¶Ë·â±Õ£¬×ó¶Ë¿ª¿Ú´¦ÓÐÒ»ÖØÁ¦²»¼Æ¡¢¿É×ÔÓÉÒÆ¶¯µÄ»îÈû£¬ÖмäµÄË®ÒøÖù½«¿ÕÆø·Ö³ÉA¡¢BÁ½²¿·Ö£¬Æä¸÷²¿·ÖµÄ³¤¶ÈÈçͼËùʾ£¬»îÈûµÄ½ØÃæ»ýΪ5.0¡Á10-5m2£®µ±Ê±´óÆøÑ¹Ç¿cmHg¡¢ÆøÎ¡æÊ±£¬ÊÔÇó£º

£¨1£©A²¿·ÖÆøÌåµÄѹǿ£®

£¨2£©Ê¹Á½²¿·ÖÆøÌåζȾùϽµµ½¡æ£¬»îÈû½«Òƶ¯µÄ¾àÀ룮

 

²é¿´´ð°¸ºÍ½âÎö>>

¿ÆÄ¿£º¸ßÖÐÎïÀí À´Ô´£º2011-2012ѧÄêºÚÁú½­Ê¡´óÇìÊÐÌúÈËÖÐѧ¸ß¶þ£¨Ï£©ÆÚÄ©ÎïÀíÊÔ¾í£¨½âÎö°æ£© ÌâÐÍ£º½â´ðÌâ

UÐξùÔȲ£Á§¹Ü£¬ÓÒ¶Ë·â±Õ£¬×ó¶Ë¿ª¿Ú´¦ÓÐÒ»ÖØÁ¦²»¼Æ¡¢¿É×ÔÓÉÒÆ¶¯µÄ»îÈû£¬ÖмäµÄË®ÒøÖù½«¿ÕÆø·Ö³ÉA¡¢BÁ½²¿·Ö£¬Æä¸÷²¿·ÖµÄ³¤¶ÈÈçͼËùʾ£¬»îÈûµÄ½ØÃæ»ýΪ5.0×10-5m2£®µ±Ê±´óÆøÑ¹Ç¿p=75cmHg¡¢ÆøÎÂt=87¡æÊ±£¬ÊÔÇó£º
£¨1£©A²¿·ÖÆøÌåµÄѹǿ£®
£¨2£©Ê¹Á½²¿·ÖÆøÌåζȾùϽµµ½t1=-3¡æ£¬»îÈû½«Òƶ¯µÄ¾àÀ룮

²é¿´´ð°¸ºÍ½âÎö>>

ͬ²½Á·Ï°²á´ð°¸