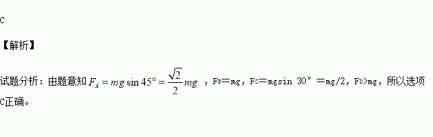
如下图所示的几种情况中,不计绳、弹簧测力计、各滑轮的质量,不计一切摩擦,物体质量都为m,且均处于静止状态,有关角度如图所示。弹簧测力计示数FA、FB、FC、FD由大到小的排列顺序是
![]()
A.FB>FD>FA>FC B.FD>FC>FB>FA C.FD>FB>FA>FC D.FC>FD>FB>FA
科目:高中物理 来源:2016届四川成都七中高三阶段测试三物理卷(解析版) 题型:计算题
如图所示,倾角
的光滑且足够长的斜面固定在水平面上,在斜面顶端固定一个轮半径和质量都不计的光滑定滑轮D,质量均为m=1kg的物体,A和B用一劲度系数k=240N/m的轻弹簧连接,物体B被位于斜面底端且垂直于斜面的挡板挡住,用一不可伸长的轻绳使物体A跨过定滑轮与纸面为M的小环C连接,小环C穿过竖直固定的关怀均匀细杆,当整个系统静止时,环C位于Q处,绳与细杆的夹角α=53°,且物体B对挡板P的压力恰好为零。图中SD水平且长度为d=0.2m,位置R与位置Q关于S对称,轻弹簧和定滑轮右侧的绳均与斜面平行,现让环C从位置R由静止释放,sin37°=0.6,cos37°=0.8,
。求:
![]()
(1)小环C的质量M
(2)小环C通过位置S时的动能
及环从位置R运动到位置S的过程中轻绳对环做的功![]()
(3)小环C运动到位置Q的速率v
查看答案和解析>>
科目:高中物理 来源:2016届湖南株洲二中高三上期月考物理卷(解析版) 题型:选择题
玩具轰炸机沿水平方向匀速飞行,到达山坡底端正上方时释放一颗炸弹,并垂直击中山坡上的目标A。已知A点高度为h=3.6m,山坡倾角为370,g=10m/s2由此算出( )
![]()
A.轰炸机的飞行高度为320m
B.轰炸机的飞行速度8m/s
C.炸弹的飞行时间0.8s
D.炸弹落在山坡时的动能是炸弹投出时的动能的
倍
查看答案和解析>>
科目:高中物理 来源:2016届河北正定中学高三上期期中物理卷(解析版) 题型:选择题
质量为0.3kg的物体在水平面上做直线运动,图中的两条直线分别表示物体受水平拉力和不受水平拉力的v﹣t图象,则下列说法中不正确的是
![]()
A.水平拉力可能等于0.3N
B.水平拉力一定等于0.1N
C.物体受到的摩擦力可能等于0.1N
D.物体受到的摩擦力可能等于0.2N
查看答案和解析>>
科目:高中物理 来源:2016届辽宁葫芦岛第一高级中学高三上期期中物理卷(解析版) 题型:选择题
如图所示的装置,用两根细绳拉住一个小球,两细绳间的夹角为θ,细绳AC呈水平状态。现将整个装置在纸面内顺时针缓慢转动,共转过90°。在转动的过程中,CA绳中的拉力F1和CB绳中的拉力F2的大小发生变化,正确的是:( )
![]()
A.F1先变小后变大 B.F1先变大后变小
C.F2逐渐减小 D.F2最后减小到零
查看答案和解析>>
科目:高中物理 来源:2016届广东罗定中学高三上期期中考试物理卷(解析版) 题型:计算题
(9分)在勇气号火星探测器着陆的最后阶段,着陆器降落到火星表面上,再经过多次弹跳才停下来。假设着陆器第一次落到火星表面弹起后,到达最高点时高度为h,速度方向是水平的,速度大小为v0,求它第二次落到火星表面时速度的大小,计算时不计火星大气阻力。已知火星的一个卫星的圆轨道的半径为r,周期为T。火星可视为半径为r0的均匀球体。
查看答案和解析>>
科目:高中物理 来源:2016届北京朝阳区高三上期期中统一考试物理卷(解析版) 题型:选择题
如图所示,水平面光滑,绳的质量及绳与滑轮的摩擦可忽略不计。物体A的质量为M,当在绳B端挂一质量为m的物体时,物体A的加速度大小为a1;当在绳B端施以大小F=mg的竖直向下的拉力作用时,A的加速度大小为a2,则a1与a2的关系正确的是
![]()
A.a1=a2 B.a1<a2 C.a1>a2 D.无法判断
查看答案和解析>>
科目:高中物理 来源:2015-2016学年福建厦门第六中学高一上期期中考试物理卷(解析版) 题型:选择题
物体做初速度为零的匀加速直线,前2s内的位移是8m,则( )
A.物体在2s末的速度为4m/s B.物体的加速度是4m/s2
C.物体在第2s内的位移是6m D.物体前4s内的位移是16m
查看答案和解析>>
科目:高中物理 来源:2015-2016学年湖北宜昌部分示范高中协作体高二上期期中物理卷(解析版) 题型:选择题
两块大小、形状完全相同的金属平板平行正对放置,构成一平行板电容器,与它相连接的电路如图所示,接通开关S,电源即给电容器充电.则
![]()
A.保持S接通,减小两极板间的距离,则在电阻R中会出现从b流向a的电流
B.断开S,增大两极板间的距离,则两极板间的场强会增大
C.保持S接通,在两极板间插入一块电介质,则极板上的电荷量增大
D.断开S,减小两极板间的距离,电容器上电荷量会增大
查看答案和解析>>
湖北省互联网违法和不良信息举报平台 | 网上有害信息举报专区 | 电信诈骗举报专区 | 涉历史虚无主义有害信息举报专区 | 涉企侵权举报专区
违法和不良信息举报电话:027-86699610 举报邮箱:58377363@163.com