精英家教网 > 高中物理 > 题目详情

甲乙两车沿平直公路通过同样的位移,甲车在前半段位移上以的速度运动,后半段位移上以的速度运动;乙车在前半段时间内以的速度运动,在后半段时间内以的速度运动.则甲、乙两车在整个位移中的平均速度大小的关系是

[  ]

A.

B.

C.

D.因不知位移和时间,无法比较

答案:C
解析:

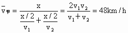
设位移为x,则

设运动的总时间为t,则,故本题选C


练习册系列答案
相关习题

科目:高中物理 来源:2012-2013学年江苏东台安丰中学高一上学期期中考试物理试卷(带解析) 题型:单选题

甲乙两车沿平直公路通过同样的位移,甲车在前半段位移上以v1="40" km/h的速度运动,后半段位移上以v2="60" km/h的速度运动,乙车在前半段时间内以v3="40" km/h的速度运动,后半段时间内以v4="60" km/h的速度运动,则甲、乙两车整个位移中的平均速度大小关系是(       )

A.v=vB.v>vC.v<vD.无法比较

查看答案和解析>>

科目:高中物理 来源:2015届江苏东台安丰中学高一上学期期中考试物理试卷(解析版) 题型:选择题

甲乙两车沿平直公路通过同样的位移,甲车在前半段位移上以v1="40" km/h的速度运动,后半段位移上以v2="60" km/h的速度运动,乙车在前半段时间内以v3="40" km/h的速度运动,后半段时间内以v4="60" km/h的速度运动,则甲、乙两车整个位移中的平均速度大小关系是(       )

A.v=v           B.v>v           C.vv          D.无法比较

 

查看答案和解析>>

科目:高中物理 来源:2010年甘肃省高一上学期期中考试物理卷 题型:选择题

甲乙两车沿平直公路通过同样的位移,甲车在前半段位移上以v1=40 km/h的速度运动,后半段位移上以v2=60 km/h的速度运动,乙车在前半段时间内以v3=40 km/h的速度运动,后半段时间内以v4=60 km/h的速度运动,则甲、乙两车整个位移中的平均速度大小关系是(       )

 A、v甲=v乙       B、v甲>v乙        C、v甲<v乙     D、无法比较

 

 

查看答案和解析>>

科目:高中物理 来源: 题型:

 甲乙两车沿平直公路通过同样的位移,甲车在前半段位移上以v1=40km/h的速度运动,后半段位移上以v2=60km/h的速度运动;乙车在前半段时间以v1=40km/h的速度运动,后半段时间以v2=60km/h的速度运动,则甲乙两车在整个位移中的平均速度大小关系是(      )

查看答案和解析>>

科目:高中物理 来源: 题型:

甲乙两车沿平直公路通过同样的位移,甲车在前半段位移上以v1=40km/h的速度运动,后半段位移上以v2=60km/h的速度运动;乙车在前半段时间内以v1=40km/h的速度运动,后半段时间以v2=60km/h的速度运动,则甲、乙两车在整个位移中的平均速度大小的关系是 [ ]
  

查看答案和解析>>

同步练习册答案