精英家教网 > 高中物理 > 题目详情

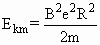
用频率为ν的光照射某种金属表面产生光电子.当光电子垂直进入强度为B的匀强磁场中做匀速圆周运动时,其最大半径为R,以W表示逸出功,m、e、h分别表示电子质量、电量和普朗克常量.下列表示电子最大初动能的式子中哪些是正确的

A.Ekm=hν+W

B.

C.Ekm=hν-W

D.

练习册系列答案
相关习题

科目:高中物理 来源: 题型:

精英家教网(1)用频率为v0的光照射大量处于基态的氢原子,在所发射的光谱中仅能观测到频率分别为v1、v2、v3的三条谱线,且v3>v2>v1,则
 
.(填入正确选项前的字母)
A.v0<v1 B.v3=v2+v1 C.v0=v1+v2+v3 D.
1
v1
=
1
v2
+
1
v3

(2)如图所示,光滑的水平地面上有一木板,其左端放有一重物,右方有一竖直的墙.重物质量为木板质量的2倍,重物与木板间的动摩擦因数为μ.使木板与重物以共同的速度v0向右运动,某时刻木板与墙发生弹性碰撞,碰撞时间极短.求木板从第一次与墙碰撞到再次碰撞所经历的时间.设木板足够长,重物始终在木板上.重力加速度为g.

查看答案和解析>>

科目:高中物理 来源: 题型:

(2007?湖北模拟)用频率为v的光照射某金属表面产生光电子当光电子垂直射入磁感应强度为B的匀强磁场中作匀速圆周运动时,其最大半径为R.以W表示逸出功,m、e表示电子质量、电量,h表示普朗克常数,则电子最大初动能是(  )

查看答案和解析>>

科目:高中物理 来源:2013届河北省高二4月月考(理)物理试卷(解析版) 题型:填空题

用频率为v的光照射某金属表面时,逸出的光电子的最大初动能为EK,若改用频率为3v的光照射该金属,则逸出光电子的最大初动能为           

 

查看答案和解析>>

科目:高中物理 来源: 题型:

用频率为ν1的光照射某金属时,逸出的光电子最大初动能为E1,用频率为ν2ν2ν1)的光照射该金属时,逸出光电子的最大初动能为_______________,该金属发生光电效应的极限频率为_____________。(普朗克常量为h

查看答案和解析>>

科目:高中物理 来源: 题型:

(4分)用频率为ν1的光照射某金属时,逸出的光电子最大初动能为E1,用频率为ν2ν2ν1)的光照射该金属时,逸出光电子的最大初动能为_______________,该金属发生光电效应的极限频率为_____________。(普朗克常量为h

查看答案和解析>>

同步练习册答案