精英家教网 > 高中物理 > 题目详情

某人划船横渡一条河,划船速度和水流速度一定,此人过河最短时间为;若此船用最短位移渡河,则需时间为;若船速大于水速,则船速与水速之比为

[  ]

A.
B.
C.
D.
答案:A
解析:

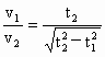
船垂直河岸方向划行过河时间为最短;船斜向上游划行,使船垂直过河,此时船过河的位移为最短.设划船速度为,水流速度为,河宽为l,则过河最短时间为                  ①

船以最短位移垂直过河,速度合成的平行四边形如图所示.由图中几何关系,船的合速度为,过河的时间为

由①②解得:.则


练习册系列答案
相关习题

科目:高中物理 来源: 题型:

某人划船横渡一条河,河水流速处处相同且恒定,船的划行速率恒定.已知此人过河最短时间为 T1;若此人用最短的位移过河,则需时间为T2;已知船的划行速度大于水速.则船的滑行速率与水流速率之比为(  )

查看答案和解析>>

科目:高中物理 来源:不详 题型:单选题

某人划船横渡一条河,河水流速处处相同且恒定,船的划行速率恒定.已知此人过河最短时间为 T1;若此人用最短的位移过河,则需时间为T2;已知船的划行速度大于水速.则船的滑行速率与水流速率之比为(  )
A.
T2
T22
-T21
B.
T2
T1
C.
T1
T21
-T22
D.
T1
T2

查看答案和解析>>

科目:高中物理 来源:2009-2010学年贵州省贵阳市开阳三中高三(上)月考物理试卷(10月份)(解析版) 题型:选择题

某人划船横渡一条河,河水流速处处相同且恒定,船的划行速率恒定.已知此人过河最短时间为 T1;若此人用最短的位移过河,则需时间为T2;已知船的划行速度大于水速.则船的滑行速率与水流速率之比为( )
A.
B.
C.
D.

查看答案和解析>>

科目:高中物理 来源:2011-2012学年浙江省宁波市慈溪中学高三(上)期中物理试卷(解析版) 题型:选择题

某人划船横渡一条河,河水流速处处相同且恒定,船的划行速率恒定.已知此人过河最短时间为 T1;若此人用最短的位移过河,则需时间为T2;已知船的划行速度大于水速.则船的滑行速率与水流速率之比为( )
A.
B.
C.
D.

查看答案和解析>>

同步练习册答案