Èçͼ(a)Ëùʾ£¬°ë¾¶Îªr£¬ÖÊÁ¿²»¼ÆµÄÔ²ÅÌÅÌÃæÓëµØÃæÏà´¹Ö±£¬Ô²ÐÄ´¦ÓÐÒ»¸ö´¹Ö±ÓÚÅÌÃæµÄ¹â»¬Ë®Æ½¹Ì¶¨Öá O£¬ÔÚÅ̵Ä×î±ßÔµ¹Ì¶¨Ò»¸öÖÊÁ¿ÎªmµÄСÇòA£¬ÔÚOµãµÄÕýÏ·½ÀëOµã´¦¹Ì¶¨Ò»¸öÖÊÁ¿Ò²ÎªmµÄСÇòB£¬·Å¿ªÅÌÈÃÆä×ÔÓÉת¶¯£¨×ª¶¯¹ý³ÌÖÐOAÓëOB×ܱ£³Ö´¹Ö±£©£¬ÎÊ£º
(1)µ±AÇòתµ½×îµÍµãʱ£¬Á½Ð¡ÇòµÄÖØÁ¦ÊÆÄÜÖ®ºÍ¼õÉÙÁ˶àÉÙ£¿
(2)AÇòתµ½×îµÍµãʱµÄÏßËÙ¶ÈÊǶàÉÙ£¿
(3)ÔÚת¶¯¹ý³ÌÖа뾶OAÏò×óÆ«ÀëÊúÖ±·½ÏòµÄ×î´ó½Ç¶ÈÊǶàÉÙ£¿
½â£º
£¨1£©ÒÔͨ¹ýOµÄË®Æ½ÃæÎª²Î¿¼Æ½Ã棬AÇòתµ½×îµÍµãʱÁ½ÇòÖØÁ¦ÊÆÄÜÖ®ºÍ¼õÉÙ
¡÷Ep=Ep1-Ep2

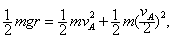
(2)ÓÉÓÚÔ²ÅÌת¶¯¹ý³ÌÖУ¬Ö»ÓÐÁ½ÇòÖØÁ¦×ö¹¦£¬»úеÄÜÊØºã£¬ÉèAÇòתµ½×îµÍµãʱ£¬A¡¢BÁ½ÇòµÄËÙ¶È·Ö±ðΪvA¡¢vB£¬Ôò
ÒòA¡¢BÁ½Çò¹Ì¶¨ÔÚͬһ¸öÔ²ÅÌÉÏ£¬×ª¶¯¹ý³ÌÖеĽÇËÙ¶ÈÏàͬ£¬µÃvA=2vB.´úÈëÉÏʽ£¬µÃ

½âµÃ
(3)Éè°ë¾¶OAÏò×óÆ«ÀëÊúÖ±·½ÏòµÄ×î´ó½Ç¶ÈΪ¦È£¨Èçͼ£¨b£©£© £¬ÓÉ»úеÄÜÊØºã¶¨ÂɵÃEp1=Ep3
¼´
¼´2cos¦È=1+sin¦È
Á½±ßƽ·½µÃ£¬¼´£¨¸º¸ùÉáÈ¥£©£®ËùÒÔ¦È=37¡ã£®
Á·Ï°²áϵÁдð°¸
Ïà¹ØÏ°Ìâ

¿ÆÄ¿£º¸ßÖÐÎïÀí À´Ô´£º ÌâÐÍ£ºÔĶÁÀí½â

£¨1£©ÓÐÒ»Óα꿨³ß£¬Ö÷³ßµÄ×îС·Ö¶ÈÊÇ1mm£¬ÓαêÉÏÓÐ20¸öСµÄµÈ·Ö¿Ì¶È£®ÓÃËü²âÁ¿Ò»Ð¡ÇòµÄÖ±¾¶£¬ÈçͼAËùʾµÄ¶ÁÊýÊÇ
13.55
13.55
mm£®ÈçͼB£¬ÓÃÂÝÐý²â΢Æ÷²âÁ¿Ò»¸ù½ðÊôË¿µÄÖ±¾¶£¬ÈçͼËùʾµÄ¶ÁÊýÊÇ
0.680
0.680
mm£®
£¨2£©ÅöײµÄ»Ö¸´ÏµÊýµÄ¶¨ÒåΪc=
|v2-v1|
v20-v10
£¬ÆäÖÐv10ºÍv20·Ö±ðÊÇÅöײǰÁ½ÎïÌåµÄËÙ¶È£¬v1ºÍv2·Ö±ðÊÇÅöײºóÁ½ÎïÌåµÄËÙ¶È£®µ¯ÐÔÅöײµÄ»Ö¸´ÏµÊýc=1£®·Çµ¯ÐÔÅöײµÄc£¼1£¬Ä³Í¬Ñ§½èÓÃÑéÖ¤¶¯Á¿Êغ㶨ÂɵÄʵÑé×°Öã¨ÈçͼcËùʾ£©ÑéÖ¤ÎïÌ嵯ÐÔÅöײµÄ»Ö¸´ÏµÊýÊÇ·ñΪ1£¬ÊµÑéÖÐʹÓð뾶ÏàµÈµÄ¸ÖÖÊСÇò1ºÍ2£¬£¨ËûÃÇÖ®¼äµÄÅöײ¿É½üËÆÊÓΪµ¯ÐÔÅöײ£©£¬ÇÒСÇò1µÄÖÊÁ¿´óÓÚСÇò2µÄÖÊÁ¿£®

ʵÑé²½ÖèÈçÏÂ
µÚÒ»²½£¬°²×°ÊµÑé×°Öã¬×öºÃ²âÁ¿Ç°µÄ×¼±¸£¬²¢¼ÇÏÂÖØ´¹ÏßËùÖ¸µÄλÖÃO£®ÈÃСÇò1´ÓAµãÓɾ²Ö¹¹öÏ£¬Öظ´¶à´Î£¬Óþ¡¿ÉÄÜСµÄÔ²°ÑСÇòµÄËùÓÐÂäµãȦÔÚÀïÃæ£¬ÆäÔ²ÐľÍÊÇСÇòÂä µã µÄÆ½¾ùλÖã®
µÚ¶þ²½£¬°ÑСÇò2·ÅÔÚб²Ûǰ¶Ë±ßÔµ´¦µÄCµã£¬ÈÃСÇò1´ÓAµãÓɾ²Ö¹¹öÏ£¬Ê¹ËüÃÇÅöײ£¬Öظ´¶à´Î£¬²¢Ê¹ÓÃÓëµÚÒ»²½Í¬ÑùµÄ·½·¨·Ö±ð±ê³öÅöײºóÁ½Ð¡ÇòÂäµãµÄƽ¾ùλÖã®
µÚÈý²½£¬Óÿ̶ȳ߷ֱð²âÁ¿Èý¸öÂ䵨µãµÄƽ¾ùλÖÃÀëOµãµÄ¾àÀ룬¼´Ïß¶ÎOM¡¢OP¡¢ONµÄ³¤¶È£®
ÔÚÉÏÊöʵÑéÖУ¬
¢ÙPµãÊÇ
ʵÑéµÄµÚÒ»²½ÖÐСÇò1Âäµã
ʵÑéµÄµÚÒ»²½ÖÐСÇò1Âäµã
µÄƽ¾ùλÖã®MµãÊÇ
СÇò1ÓëСÇò2ÅöºóСÇò1Âäµã
СÇò1ÓëСÇò2ÅöºóСÇò1Âäµã
µÄƽ¾ùλÖã®NµãÊÇ
СÇò2ÅöºóÂäµã
СÇò2ÅöºóÂäµã
µÄƽ¾ùλÖã®
¢ÚÇëд³ö±¾ÊµÑé¿ÉÓÃÏß¶ÎOP¡¢OM¡¢ONÌæ´úÁ½¸öСÇòÅöײǰºóËٶȵÄÀíÓÉ
СÇò×öƽÅ×Ô˶¯µÄʱ¼äÏàµÈ£¬Ë®Æ½Î»ÒÆÓëʱ¼ä³ÉÕý±È£®
СÇò×öƽÅ×Ô˶¯µÄʱ¼äÏàµÈ£¬Ë®Æ½Î»ÒÆÓëʱ¼ä³ÉÕý±È£®

д³öÓòâÁ¿Á¿±íʾµÄ»Ö¸´ÏµÊýµÄ±í´ïʽ
ON-0M
OP
ON-0M
OP

¢ÛÈý¸öÂ䵨µã¾àOµãµÄ¾àÀëOM¡¢OP¡¢ONÓëʵÑéËùÓõÄСÇòÖÊÁ¿ÊÇ·ñÓйأ¿
OPÓëСÇòµÄÖÊÁ¿Î޹أ¬OMºÍONÒ²ÓëСÇòµÄÖÊÁ¿ÓйØ
OPÓëСÇòµÄÖÊÁ¿Î޹أ¬OMºÍONÒ²ÓëСÇòµÄÖÊÁ¿ÓйØ
£®

²é¿´´ð°¸ºÍ½âÎö>>

¿ÆÄ¿£º¸ßÖÐÎïÀí À´Ô´£º ÌâÐÍ£º

¾«Ó¢¼Ò½ÌÍøÈçͼ1Ëùʾ£¬°ë¾¶ÎªRµÄ¾ùÔÈ´øµçÔ²ÐÎÆ½°å£¬µ¥Î»Ãæ»ý´øµçÁ¿Îª¦Ò£¬ÆäÖáÏßÉÏÈÎÒâÒ»µãP£¨×ø±êΪx£©µÄµç³¡Ç¿¶È¿ÉÒÔÓÉ¿âÂØ¶¨Âɺ͵糡ǿ¶ÈµÄµþ¼ÓÔ­ÀíÇó³ö£ºE=2¦Ðk¦Ò[1-
x
(R2+x2)1/2
]£¬·½ÏòÑØxÖᣮÏÖ¿¼Âǵ¥Î»Ãæ»ý´øµçÁ¿Îª¦Ò0µÄÎÞÏÞ´ó¾ùÔÈ´øµçƽ°å£¬´ÓÆäÖмäÍÚÈ¥Ò»°ë¾¶ÎªrµÄÔ²°æ£¬Èçͼ2Ëùʾ£®ÔòÔ²¿×ÖáÏßÉÏÈÎÒâÒ»µãQ£¨×ø±êΪx£©µÄµç³¡Ç¿¶ÈΪ£¨¡¡¡¡£©
A¡¢2¦Ðk¦Ò0
x
(r2+x2)
1
2
B¡¢2¦Ðk¦Ò0
r
(r2+x2)1/2
C¡¢2¦Ðk¦Ò0
x
r
D¡¢2¦Ðk¦Ò0
r
x

²é¿´´ð°¸ºÍ½âÎö>>

¿ÆÄ¿£º¸ßÖÐÎïÀí À´Ô´£º ÌâÐÍ£º038

Èçͼ(a)Ëùʾ£¬°ë¾¶Îªr£¬ÖÊÁ¿²»¼ÆµÄÔ²ÅÌÅÌÃæÓëµØÃæÏà´¹Ö±£¬Ô²ÐÄ´¦ÓÐÒ»¸ö´¹Ö±ÓÚÅÌÃæµÄ¹â»¬Ë®Æ½¹Ì¶¨ÖáO£¬ÔÚÅ̵Ä×î±ßÔµ¹Ì¶¨Ò»¸öÖÊÁ¿ÎªmµÄСÇòA£¬ÔÚOµãÕýÏ·½ÀëOµã´¦¹Ì¶¨Ò»¸öÖÊÁ¿Ò²ÎªmµÄСÇòB£®·Å¿ªÅÌÈÃÆä×ÔÓÉת¶¯£¬ÎÊ£º

(1)µ±AÇòתµ½×îµÍµãʱ£¬Á½Ð¡ÇòµÄÖØÁ¦ÊÆÄÜÖ®ºÍ¼õÉÙÁ˶àÉÙ£¿

(2)AÇòתµ½×îµÍµãʱµÄËÙ¶ÈÊǶàÉÙ£¿

(3)ÔÚת¶¯¹ý³ÌÖа뾶OAÏò×óÆ«ÀëÊúÖ±·½ÏòµÄ×î´ó½Ç¶ÈÊǶàÉÙ£¿

²é¿´´ð°¸ºÍ½âÎö>>

¿ÆÄ¿£º¸ßÖÐÎïÀí À´Ô´£º ÌâÐÍ£º038

Èçͼ(a)Ëùʾ£¬°ë¾¶ÎªrµÄ¾øÔµ¹â»¬Ô²»·£¬¹Ì¶¨ÔÚÊúÖ±Æ½ÃæÄÚ£¬»·ÉÏÌ×Ò»¸öÖÊÁ¿Îªm¡¢´øÕýµçµÄÖé×Ó£®Ô²»·ËùÔÚ¿Õ¼ä´æÔÚˮƽÏòÓÒµÄÔÈÇ¿µç³¡£¬Öé×ÓËùÊܾ²µçÁ¦ÊÇÆäËùÊÜÖØÁ¦µÄ£®½«Öé×Ó´Ó»·ÉϵÄ×îµÍλÖÃAµã£¬Óɾ²Ö¹ÊÍ·Å£¬ÎÊÖé×ÓËùÄÜ»ñµÃµÄ×î´ó¶¯ÄÜÊǶàÉÙ?

¡¡

²é¿´´ð°¸ºÍ½âÎö>>

ͬ²½Á·Ï°²á´ð°¸