精英家教网 > 高中物理 > 题目详情
在“验证机械能守恒定律”的实验中,打点计时器接在电压为U,频率为f的交流电源上,在实验中打下一条理想纸带,如图所示,选取纸带上打出的连续5个点A,B,C,D,E,测出A点距起始点O的距离为x0,点A,C间的距离为x1,点C,E间的距离为x2,已知重锤的质量为m,当地的重力加速度为g,则
(1)从起始点O到打下C点的过程中,重锤重力势能的减少量△Ep=____,重锤动能的增加量△Ek=___。
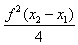
(2)根据题中提供的条件,还可求出重锤实际下落的加速度a=_____。
(1)mg(x0+x1),
(2)
练习册系列答案
相关习题

科目:高中物理 来源: 题型:

(1)现行高中物理教材的学生实验中,提供了重锤线的是
AC
AC

A、研究平抛物体的运动    B、验证机械能守恒定律
C、验证动量守恒定        D、用单摆测定重力加速度
(2)在利用自由落体运动验证机械能守恒定律的实验中:若打点计时器所接交流电的频率为50赫兹,甲、乙两条实验纸带,如图1所示,应选
纸带好.若已测得点2到4间距离为s1,点0到3间距离为s2,打点周期为T,验证重物开始下落到打点计时器打下点3这段时间内机械能守恒,s1、s2和T应满足的关系为T=
S1
2
2gS2
S1
2
2gS2


(3)影响物质材料电阻率的因素很多.一般金属材料的电阻率随温度的升高增大,而半导体材料的电阻率则随温度的升高而减小.某校研究性学习小组为了研究某种导电材料的导电特性,他们用该种材料制作成电阻值较小的线状元件z做实验,所用电压表的量程为3V,电流表的量程为3A,测得元件Z中的电流与相应电压的9组数据标在I-U图上.
①他们进行实验应选用的实物电路图是图2中的
C
C


②在交流评价过程中某同学提出,有2组实验数据存在明显的错误,你认为是
C、D
C、D
(只需填上与该数据对应的点O、A、B…)
③请在图3上画出元件Z的伏安特性曲线,判断元件Z是
半导体
半导体
材料(“金属”或“半导体”).

查看答案和解析>>

科目:高中物理 来源: 题型:

(2010?成都二模)(1)在验证“机械能守恒定率”的试验中:
①下面叙述正确的是
AB
AB
(填序号字母)
A.选用的重物的体积应当小一些
B.操作时应先通电再释放纸带
C.应该选用点迹清晰,且第一、二两点间的距离接近2mm的纸带进行分析
D.电磁打点计时器都应接在电压为20V的交流电源上
②实验室有下列器材可供选用:铁架台,电磁打点计时器(包括复写纸),纸带,停表,低压交流电源(带开关),导线,天平,刻度尺.
其中不必要的器材有
停表,天平
停表,天平
;缺少的器材是
重物
重物

(2)某同学想测某个电阻的电阻值Rx(约为130Ω),为此他找来下列器材:
A.电流E:电动势约为1.5V,内阻可忽略不计
B.电流表A1:量程为0~10mA,内电阻r1=10Ω
C.电流表A2:量程为0~20mA电阻r2约为5Ω
D.定值电阻R0:阻值R0=90Ω
E.滑动变阻器R1:最大阻值为20Ω
F.滑动变阻器R2:最大阻值为1000Ω
G.单刀单掷开关S,导线若干
①该同学的设计思路是:先将其中一只电流表改装成电压表,然后利用伏安法测出Rx.为了尽量准确的测出Rx的阻值,请你根据找到的器材和该同学的设计思路,在虚线框内画出实验电路图,并标出器材符号.
②你所选用的滑动变阻器是
R1
R1
(填器材序号字母或器材符号).
③若某次测量中电流表A1的示数为I1,电流表A2的示数为I2,则Rx的表达式为:Rx=
I1(R0+r1)
I2-I1
I1(R0+r1)
I2-I1

查看答案和解析>>

科目:高中物理 来源: 题型:

某实验小组想利用图(甲)所示的单摆装置来验正机械能守恒定,但需要先测定当地的重力加速度.他们从实验室找来了如图(乙)所示的实验器材.
(1)在测量当地的重力加速度时,除器材a、c外,还应选择的器材有
 
(填器材下的字母).若测量过程中悬点松动,则测出的重力加速度
 
真实重力加速度(填“大于、等于或小于”).
(2)用游标卡尺测量摆球的直径时读数如图所示,则小球的直径为
 
 cm.
(3)重力加速度测出后,继续验证摆球的机械能是否守恒,需要的器材有
 
(填器材下的字母).取最低点D处为零势面,横坐标h为小球离最低点的高度,纵坐标E为小球的动能或势能(m为小球的质量).推据记录的实验数据,处理后得到图(丙)所示的实验图象,经分析后可以得出的结论是:
 
精英家教网

查看答案和解析>>

科目:高中物理 来源:2012年浙江省温州市高考物理适应性训练(二)(解析版) 题型:解答题

某实验小组想利用图(甲)所示的单摆装置来验正机械能守恒定,但需要先测定当地的重力加速度.他们从实验室找来了如图(乙)所示的实验器材.
(1)在测量当地的重力加速度时,除器材a、c外,还应选择的器材有______(填器材下的字母).若测量过程中悬点松动,则测出的重力加速度______真实重力加速度(填“大于、等于或小于”).
(2)用游标卡尺测量摆球的直径时读数如图所示,则小球的直径为______ cm.
(3)重力加速度测出后,继续验证摆球的机械能是否守恒,需要的器材有______(填器材下的字母).取最低点D处为零势面,横坐标h为小球离最低点的高度,纵坐标E为小球的动能或势能(m为小球的质量).推据记录的实验数据,处理后得到图(丙)所示的实验图象,经分析后可以得出的结论是:______.

查看答案和解析>>

同步练习册答案