精英家教网 > 高中物理 > 题目详情

研究表明,地球自转在逐渐变慢,3亿年前地球自转的周期约为22小时。假设这种趋势会持续下去,地球的其他条件都不变,未来人类发射的地球同步卫星与现在的相比

A.向心加速度变大               B.角速度变大

C.线速度变大                   D.距地面的高度变大


D

【解析】

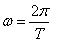
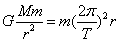
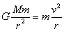
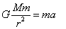
试题分析:根据可知,地球自转的周期变大,则同步卫星的周期变大,角速度减小,选项B错误;根据,可知T变大时,r变大,则同步卫星距地面的高度变大,选项D正确;根据可知,卫星的向心加速度变小,选项A错误;根据可知卫星的线速度变小,选项C错误;故选D. 

考点:万有引力定律的应用.

练习册系列答案
相关习题

科目:高中物理 来源: 题型:


关于力和运动的关系,下列说法中不正确的是(     )

A.物体做曲线运动,其速度不一定改变

B.物体做曲线运动,其加速度不一定改变

C.物体在恒力作用下运动,其速度方向不一定改变

D.物体在变力作用下运动,其速度大小不一定改变

查看答案和解析>>

科目:高中物理 来源: 题型:


如图所示为小型旋转电枢式交流发电机,电阻r=l 的矩形线圈在磁感应强度为B的匀强磁场中,绕垂直于磁场方向的固定轴OO'匀速转动,线圈的两端经集流环和电刷与电路连接,滑动变阻器R的最大阻值为6,滑动片P位于滑动变阻器距下端处,定值电阻R1=2,其他电阻不计,线圈匀速转动的周期T=0.02s。闭合开关S,从线圈平面与磁场方向平行时开始计时,线圈转动过程中理想电压表示数是5V。下列说法正确的是

A.电阻R1消耗的功率为W

B.0.02 s时滑动变阻器R两端的电压瞬时值为零

C.线圈产生的电动势e随时间t变化的规律是(V)

D.线圈从开始计时到s的过程中,通过R1的电荷量为C

查看答案和解析>>

科目:高中物理 来源: 题型:


用伏安法测一节干电池的电动势E和内阻r,所给的器材有:

A.电压表V:0~3~15V

B.电流表A:0~0.6~3A

C.滑动变阻器R1(总阻值20)

D.滑动变阻器R2(总阻值100)

E.开关S和导线若干

(1)电压表量程选用______________;滑动变阻器选用_________(填R1R2);

(2)在图中将电压表加入实验电路中;

(3)在U-I图中已画出七组实验数据所对应的坐标点,请根据这些点作出U-I并由图线求出:E=________V,r=_________

查看答案和解析>>

科目:高中物理 来源: 题型:


如图所示,一个质量均匀分布的星球,绕其中心轴PQ自转,AB与PQ是互相垂直的直径。星球在A点的重力加速度是P点的90%,星球自转的周期为 ,万有引力常量为,则星球的密度为

A. B. C. D.

查看答案和解析>>

科目:高中物理 来源: 题型:


物体在两个相互垂直的力作用下运动,力F1对物体做功6J,物体克服力F2做的功8J,则F1、F2的合力对物体做功为(     )

A.14J              B.10J              C.2J              D.-2J

查看答案和解析>>

科目:高中物理 来源: 题型:


如图所示的xOy坐标系中,x轴上固定一个点电荷Q,y轴上固定一根光滑绝缘细杆(细杆的下端刚好在坐标原点O处),将一个套在杆上重力不计的带电圆环(视为质点)从杆上P处由静止释放,圆环从O处离开细杆后恰好绕点电荷Q做圆周运动。下列说法正确的是(    )

A.圆环沿细杆从P运动到O的过程中,速度可能先增大后减小

B.圆环沿细杆从P运动到O的过程中,加速度可能先增大后减小

C.增大圆环所带的电荷量,其他条件不变,圆环离开细杆后仍然能绕点电荷做圆周运动

D.将圆环从杆上P的上方由静止释放,其他条件不变,圆环离开细杆后仍然能绕点电荷做圆周运动

查看答案和解析>>

科目:高中物理 来源: 题型:


2015年2月,航天飞机在完成对哈勃空间望远镜的维修任务后,在A点从圆形轨道Ⅰ进入椭圆轨道Ⅱ,B为轨道Ⅱ上的一点,如图所示,关于航天飞机的运动,下列说法中正确的有(   )

A.在轨道Ⅱ上经过A的速度小于经过B的速度

B.在轨道Ⅱ上A的速度小于在轨道Ⅰ上A的速度

C.在轨道Ⅱ上运动的周期小于在轨道Ⅰ上运动的周期

D.在轨道Ⅱ上经过A的加速度小于在轨道Ⅰ上经过A的加速度

查看答案和解析>>

科目:高中物理 来源: 题型:


如图所示,A、B、C三个物体放在旋转平台上,动摩擦因数均为μ已知A的质量为2m,B、C的质量均为m,A、B离轴距离均为R,C距离轴为2R,则当平台逐渐加速旋转时(  )

A.B物体的向心加速度最大

B.B物体的摩擦力最小

C.当圆台转速增加时,C比A先滑动

D.当圆台转速增加时,B比A先滑动

查看答案和解析>>

同步练习册答案