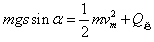
ÈçͼËùʾ£¬Á½×ã¹»³¤Æ½Ðй⻬µÄ½ðÊôµ¼¹ìMN¡¢PQÏà¾àΪL£¬µ¼¹ìÆ½ÃæÓëË®Æ½Ãæ¼Ð½Ç¦Á£½30¡ã£¬µ¼¹ìÉ϶˿ç½ÓÒ»¶¨Öµµç×èR£¬µ¼¹ìµç×è²»¼Æ¡£Õû¸ö×°Öô¦ÓÚ·½ÏòÊúÖ±ÏòÉϵÄÔÈÇ¿´Å³¡ÖУ¬³¤ÎªLµÄ½ðÊô°ôcd´¹Ö±ÓÚMN¡¢PQ·ÅÖÃÔÚµ¼¹ìÉÏ£¬ÇÒÓëµ¼¹ì±£³Öµç½Ó´¥Á¼ºÃ£¬½ðÊô°ôµÄÖÊÁ¿Îªm¡¢µç×èΪr£¬ÖØÁ¦¼ÓËÙ¶ÈΪg£¬ÏÖ½«½ðÊô°ôÓɾ²Ö¹ÊÍ·Å£¬µ±½ðÊô°ôÑØµ¼¹ìÏ»¬¾àÀëΪsʱ£¬ËÙ¶È´ïµ½×î´óÖµvm¡£Çó£º
£¨1£©½ðÊô°ô¿ªÊ¼Ô˶¯Ê±µÄ¼ÓËÙ¶È´óС£»
£¨2£©ÔÈÇ¿´Å³¡µÄ´Å¸ÐӦǿ¶È´óС£»
£¨3£©½ðÊô°ôÑØµ¼¹ìÏ»¬¾àÀëΪsµÄ¹ý³ÌÖУ¬µç×èRÉϲúÉúµÄµçÈÈ¡£
½â£º£¨1£©½ðÊô°ô¿ªÊ¼Ô˶¯Ê±µÄ¼ÓËÙ¶È´óСΪa£¬ÓÉÅ£¶ÙµÚ¶þ¶¨ÂÉÓÐ ¢Ù
½âµÃ
£¨2£©ÉèÔÈÇ¿´Å³¡µÄ´Å¸ÐӦǿ¶È´óСΪB£¬Ôò½ðÊô°ô´ïµ½×î´óËÙ¶Èʱ²úÉúµÄµç¶¯ÊÆ ¢Ú
»ØÂ·ÖвúÉúµÄ¸ÐÓ¦µçÁ÷ ¢Û
½ðÊô°ô°ôËùÊܰ²ÅàÁ¦ ¢Ü
cd°ôËùÊܺÏÍâÁ¦ÎªÁãʱ£¬Ï»¬µÄËÙ¶È´ïµ½×î´ó£¬Ôò ¢Ý
ÓɢڢۢܢÝʽ½âµÃ
£¨3£©Éèµç×èRÉϲúÉúµÄµçÈÈΪQ£¬Õû¸öµç·²úÉúµÄµçÈÈΪQ×Ü£¬Ôò
 ¢Þ
 ¢ß
ÓÉ¢Þ¢ßʽ½âµÃ
Á·Ï°²áϵÁдð°¸
Ïà¹ØÏ°Ìâ

¿ÆÄ¿£º¸ßÖÐÎïÀí À´Ô´£º ÌâÐÍ£º

¾«Ó¢¼Ò½ÌÍøÈçͼËùʾ£¬Á½×ã¹»³¤Æ½ÐнðÊôµ¼¹ì¹Ì¶¨ÔÚË®Æ½ÃæÉÏ£¬ÔÈÇ¿´Å³¡·½Ïò´¹Ö±µ¼¹ìÆ½ÃæÏòÏ£¬½ðÊô°ôab¡¢cdÓëµ¼¹ì¹¹³É±ÕºÏ»ØÂ·ÇÒ¶¼¿ÉÑØµ¼¹ìÎÞĦ²Á»¬¶¯£¬Á½½ðÊô°ôab¡¢cdµÄÖÊÁ¿Ö®±ÈΪ2£º1£¬ÓÃÒ»ÑØµ¼¹ì·½ÏòµÄºãÁ¦FˮƽÏòÓÒÀ­½ðÊô°ôcd£¬¾­¹ý×ã¹»³¤Ê±¼äÒԺ󣨡¡¡¡£©

²é¿´´ð°¸ºÍ½âÎö>>

¿ÆÄ¿£º¸ßÖÐÎïÀí À´Ô´£º2010-2011ѧÄêºÓÄÏʡ֣ÖÝÊиßÈýµÚÒ»´ÎÖÊÁ¿Ô¤²âÎïÀíÊÔ¾í ÌâÐÍ£ºÑ¡ÔñÌâ

ÈçͼËùʾ£¬Á½×ã¹»³¤Æ½ÐнðÊôµ¼¹ì¹Ì¶¨ÔÚË®Æ½ÃæÉÏ£¬ÔÈÇ¿´Å³¡·½Ïò´¹Ö±µ¼¹ìÆ½ÃæÏòÏ£¬½ðÊô°ôab¡¢cdÓëµ¼¹ì¹¹³É±ÕºÏ»ØÂ·ÇÒ¶¼¿ÉÑØµ¼¹ìÎÞĦ²Á»¬¶¯£¬Á½½ðÊô°ôab¡¢cdµÄÖÊÁ¿Ö®±ÈΪ2 £º1,ÓÃÒ»ÑØµ¼¹ì·½ÏòµÄºãÁ¦FˮƽÏòÓÒÀ­½ðÊô°ôcd£¬¾­¹ý×ã¹»³¤Ê±¼äÒÔºó                                £¨    £©

    A£®½ðÊô°ôab¡¢cd¶¼×öÔÈËÙÔ˶¯       

    B£®½ðÊô°ôabÉϵĵçÁ÷·½ÏòÊÇÓÉbÏòa

    C£®½ðÊô°ôcdËùÊܰ²ÅàÁ¦µÄ´óСµÈÓÚ2F£¯3

    D£®Á½½ðÊô°ô¼ä¾àÀë±£³Ö²»±ä

 

²é¿´´ð°¸ºÍ½âÎö>>

¿ÆÄ¿£º¸ßÖÐÎïÀí À´Ô´£º2013Äê¸ß¿¼ÎïÀí¸´Ï°¾íC£¨¾Å£©£¨½âÎö°æ£© ÌâÐÍ£ºÑ¡ÔñÌâ

ÈçͼËùʾ£¬Á½×ã¹»³¤Æ½ÐнðÊôµ¼¹ì¹Ì¶¨ÔÚË®Æ½ÃæÉÏ£¬ÔÈÇ¿´Å³¡·½Ïò´¹Ö±µ¼¹ìÆ½ÃæÏòÏ£¬½ðÊô°ôab¡¢cdÓëµ¼¹ì¹¹³É±ÕºÏ»ØÂ·ÇÒ¶¼¿ÉÑØµ¼¹ìÎÞĦ²Á»¬¶¯£¬Á½½ðÊô°ôab¡¢cdµÄÖÊÁ¿Ö®±ÈΪ2£º1£¬ÓÃÒ»ÑØµ¼¹ì·½ÏòµÄºãÁ¦FˮƽÏòÓÒÀ­½ðÊô°ôcd£¬¾­¹ý×ã¹»³¤Ê±¼äÒÔºó£¨ £©
A£®½ðÊô°ôab¡¢cd¶¼×öÔÈËÙÔ˶¯
B£®½ðÊô°ôabÉϵĵçÁ÷·½ÏòÊÇÓÉbÏòa
C£®½ðÊô°ôcdËùÊܰ²ÅàÁ¦µÄ´óСµÈÓÚ
D£®Á½½ðÊô°ô¼ä¾àÀë±£³Ö²»±ä

²é¿´´ð°¸ºÍ½âÎö>>

¿ÆÄ¿£º¸ßÖÐÎïÀí À´Ô´£º2005Äê½­ËÕÊ¡ËÞǨÊи߿¼ÎïÀíÈýÄ£ÊÔ¾í£¨½âÎö°æ£© ÌâÐÍ£ºÑ¡ÔñÌâ

ÈçͼËùʾ£¬Á½×ã¹»³¤Æ½ÐнðÊôµ¼¹ì¹Ì¶¨ÔÚË®Æ½ÃæÉÏ£¬ÔÈÇ¿´Å³¡·½Ïò´¹Ö±µ¼¹ìÆ½ÃæÏòÏ£¬½ðÊô°ôab¡¢cdÓëµ¼¹ì¹¹³É±ÕºÏ»ØÂ·ÇÒ¶¼¿ÉÑØµ¼¹ìÎÞĦ²Á»¬¶¯£¬Á½½ðÊô°ôab¡¢cdµÄÖÊÁ¿Ö®±ÈΪ2£º1£¬ÓÃÒ»ÑØµ¼¹ì·½ÏòµÄºãÁ¦FˮƽÏòÓÒÀ­½ðÊô°ôcd£¬¾­¹ý×ã¹»³¤Ê±¼äÒÔºó£¨ £©
A£®½ðÊô°ôab¡¢cd¶¼×öÔÈËÙÔ˶¯
B£®½ðÊô°ôabÉϵĵçÁ÷·½ÏòÊÇÓÉbÏòa
C£®½ðÊô°ôcdËùÊܰ²ÅàÁ¦µÄ´óСµÈÓÚ
D£®Á½½ðÊô°ô¼ä¾àÀë±£³Ö²»±ä

²é¿´´ð°¸ºÍ½âÎö>>

¿ÆÄ¿£º¸ßÖÐÎïÀí À´Ô´£º2011ÄêºÓÄÏʡ֣ÖÝÊи߿¼ÎïÀíһģÊÔ¾í£¨½âÎö°æ£© ÌâÐÍ£ºÑ¡ÔñÌâ

ÈçͼËùʾ£¬Á½×ã¹»³¤Æ½ÐнðÊôµ¼¹ì¹Ì¶¨ÔÚË®Æ½ÃæÉÏ£¬ÔÈÇ¿´Å³¡·½Ïò´¹Ö±µ¼¹ìÆ½ÃæÏòÏ£¬½ðÊô°ôab¡¢cdÓëµ¼¹ì¹¹³É±ÕºÏ»ØÂ·ÇÒ¶¼¿ÉÑØµ¼¹ìÎÞĦ²Á»¬¶¯£¬Á½½ðÊô°ôab¡¢cdµÄÖÊÁ¿Ö®±ÈΪ2£º1£¬ÓÃÒ»ÑØµ¼¹ì·½ÏòµÄºãÁ¦FˮƽÏòÓÒÀ­½ðÊô°ôcd£¬¾­¹ý×ã¹»³¤Ê±¼äÒÔºó£¨ £©
A£®½ðÊô°ôab¡¢cd¶¼×öÔÈËÙÔ˶¯
B£®½ðÊô°ôabÉϵĵçÁ÷·½ÏòÊÇÓÉbÏòa
C£®½ðÊô°ôcdËùÊܰ²ÅàÁ¦µÄ´óСµÈÓÚ
D£®Á½½ðÊô°ô¼ä¾àÀë±£³Ö²»±ä

²é¿´´ð°¸ºÍ½âÎö>>

ͬ²½Á·Ï°²á´ð°¸