精英家教网 > 高中物理 > 题目详情

某一发电站发电机组的设计为:水以的速度流入水轮机,以的速度流出,流出水位比流入的水位低10m,水流量为,水轮机的效率为75%,发电机的效率为80%,试问:

(1)发电机组的输出电功率为多少?(g取)

(2)如果输出电压为240V,用户需要220V电压,输电线能量损失为5%,输电线电阻为,那么所需升、降压变压器原、副线圈的匝数比分别为多少?

答案:略
解析:

答案:(1)

(2)升压变压器,降压变压器

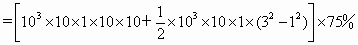
解析 (1)水轮机获得的机械能

(t1s)

发电机输出的电能

所以输出功率

(2)发电机输出电流

输电线功率损失

输电线上的电流

=

用户得到的功率

用户电流

所以升压变压器原、副线圈匝数比为,降压变压器原、副线圈匝数比为

点评 本题综合了力学和电学的知识,力学中的能量转化与守恒,电学中的变压等.解题过程多,涉及的物理量达十几个,计算量大,在分析解答中要特别小心才行.


练习册系列答案
相关习题

同步练习册答案