精英家教网 > 高中物理 > 题目详情
现要通过实验验证机械能守恒定律。实验装置如图1所示:水平桌面上固定一倾斜的气垫导轨;导轨上A点处有一带长方形遮光片的滑块,其总质量为M,左端由跨过轻质光滑定滑轮的细绳与一质量为m的砝码相连;遮光片两条长边与导轨垂直;导轨上B点有一光电门,可以测试遮光片经过光电门时的挡光时间t,用d表示A点到导轨低端C点的距离,h表示A与C的高度差,b表示遮光片的宽度,s表示A、B两点的距离,将遮光片通过光电门的平均速度看作滑块通过B点时的瞬时速度。用g表示重力加速度。完成下列填空和作图。

(1)若将滑块自A点由静止释放,则在滑块从A运动至B的过程中,滑块、遮光片与砝码组成的系统重力势能的减小量可表示为_________。动能的增加量可表示为_________。若在运动过程中机械能守恒,与s的关系式为_________。
(2)多次改变光电门的位置,每次均令滑块自同一点(A点)下滑,测量相应的s与t值,结果如下表所示:

以s为横坐标,为纵坐标,在图2的坐标纸中描出第1和第5个数据点;根据5个数据点作直线,求得该直线的斜率k=________(保留3位有效数字)。由测得的h、d、b、M和m数值可以计算出直线的斜率,将k和进行比较,若其差值在试验允许的范围内,则可认为此试验验证了机械能守恒定律。

(1)
(2)2.40,图“略”
练习册系列答案
相关习题

科目:高中物理 来源: 题型:阅读理解

现要通过实验验证机械能守恒定律.实验装置如图1所示:水平桌面上固定一倾斜的气垫导轨;导轨上A点处有一带长方形遮光片的滑块,其总质量为M,左端由跨过轻质光滑定滑轮的细绳与一质量为m的砝码相连;遮光片两条长边与导轨垂直;导轨上B点有一光电门,可以测量遮光片经过光电门时的挡光时间t,用d表示A点到导轨底端C点的距离,h表示A与C的高度差,b表示遮光片的宽度,s表示A、B两点间的距离,将遮光片通过光电门的平均速度看作滑块通过B点时的瞬时速度.用g表示重力加速度.完成下列填空和作图:(1)若将滑块自A点由静止释放,则在滑块从A运动至B的过程中,滑块、遮光片与砝码组成的系统重力势能的减小量可表示为
 
,动能的增加量可表示为
 
.若在运动过程中机械能守恒,
1
t2
与s的关系式为
1
t2
=
 

精英家教网
(2)多次改变光电门的位置,每次均令滑块自同一点(A点)下滑,测量相应的s与t值,结果如下表所示:
1 2 3 4 5
s/m 0.600 0.800 1.000 1.200 1.400
t/ms 8.22 7.17 6.44 5.85 5.43
1
t2
/104s-2
1.48 1.95 2.41 2.92 3.39
以s为横坐标,
1
t2
为纵坐标,在图2的坐标纸中描出第1和第5个数据点
 
;根据5个数据点作直线,求得该直线的斜率k=
 
×104 m-1?s-2(保留3位有效数字).由测得的h、d、b、M和m数值可以计算出
1
t2
-s直线的斜率k0,将k和k0进行比较,若其差值在实验允许的范围内,则可认为此实验验证了机械能守恒定律.

查看答案和解析>>

科目:高中物理 来源: 题型:阅读理解

(2011?海南)现要通过实验验证机械能守恒定律.实验装置如图1所示:水平桌面上固定一倾斜的气垫导轨;导轨上A点处有一带长方形遮光片的滑块,其总质量为M,左端由跨过轻质光滑定滑轮的细绳与一质量为m的砝码相连;遮光片两条长边与导轨垂直;导轨上B点有一光电门,可以测试遮光片经过光电门时的挡光时间t,用d表示A点到导轨低端C点的距离,h表示A与C的高度差,b表示遮光片的宽度,s表示A,B 两点的距离,将遮光片通过光电门的平均速度看作滑块通过B点时的瞬时速度.用g表示重力加速度.完成下列填空和作图;
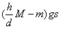
(1)若将滑块自A点由静止释放,则在滑块从A运动至B的过程中,滑块、遮光片与砝码组成的系统重力势能的减小量可表示为
Mg
h
d
s
-mgs
Mg
h
d
s
-mgs
.动能的增加量可表示为
1
2
(m+M)
b2
t2
1
2
(m+M)
b2
t2
.若在运动过程中机械能守恒,
1
t2
与s的关系式为
1
t2
=
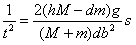
2(hM-dm)g
(M+m)db2
s
=
2(hM-dm)g
(M+m)db2
s

(2)多次改变光电门的位置,每次均令滑块自同一点(A点)下滑,测量相应的s与t值,结果如下表所示:
1 2 3 4 5
s(m) 0.600 0.800 1.000 1.200 1.400
t(ms) 8.22 7.17 6.44 5.85 5.43
1
t2
(×104s-2
1.48 1.95 2.41 2.92 3.39
以s为横坐标,
1
t2
为纵坐标,在答题卡上对应图2位置的坐标纸中描出第1和第5个数据点;根据5个数据点作直线,求得该直线的斜率k=
2.40
2.40
×104m-1.?s-2(保留3位有效数字).

由测得的h、d、b、M和m数值可以计算出
1
t2
-s
直线的斜率ko,将k和ko进行比较,若其差值在试验允许的范围内,则可认为此试验验证了机械能守恒定律.

查看答案和解析>>

科目:高中物理 来源: 题型:

 现要通过实验验证机械能守恒定律.实验装置如图所示:水平桌面上固定一倾斜的气垫导轨;导轨上A点处有一带长方形遮光片的滑块,其总质量为M,左端由跨过轻质光滑定滑轮的细绳与一质量为m的砝码相连;遮光片两条长边与导轨垂直;导轨上B点有一光电门,可以测试遮光片经过光电门时的挡光时间t,用d表示A点到导轨低端C点的距离,h表示A与C的高度差,b表示遮光片的宽度,s表示A,B 两点的距离,将遮光片通过光电门的平均速度看作滑块通过B点时的瞬时速度.用g表示重力加速度.若将滑块自A点由静止释放,则在滑块从A运动至B的过程中,滑块、遮光片与砝码组成的系统重力势能的减小量可表示为
(
h
d
M-m)gs
(
h
d
M-m)gs
.动能的增加量可表示为
1
2
(m+M)
b2
t2
1
2
(m+M)
b2
t2
.若在运动过程中机械能守恒,
1
t2
与s的关系式为
1
t2
=
2(hM-dm)g
(M+m)db2
s
2(hM-dm)g
(M+m)db2
s

查看答案和解析>>

科目:高中物理 来源: 题型:阅读理解

(10分)现要通过实验验证机械能守恒定律。实验装置如图1所示:水平桌面上固定一倾斜的气垫导轨;导轨上A点处有一带长方形遮光片的滑块,其总质量为M,左端由跨过轻质光滑定滑轮的细绳与一质量为m的砝码相连;遮光片两条长边与导轨垂直;导轨上B点有一光电门,可以测试遮光片经过光电门时的挡光时间t,用d表示A点到导轨底端C点的距离,h表示A与C的高度差,b表示遮光片的宽度,s表示A、B两点的距离,将遮光片通过光电门的平均速度看作滑块通过B点时的瞬时速度。用g表示重力加速度。完成下列填空和作图;

(1)若将滑块自A点由静止释放,则在滑块从A运动至B的过程中,滑块、遮光片与砝码组成的系统重力势能的减小量可表示为_____。动能的增加量可表示为_________。若在运动过程中机械能守恒,与s的关系式为= ________。

 (2)多次改变光电门的位置,每次均令滑块自同一点(A点)下滑,测量相应的s与t值,结果如下表所示:

 

1

2

3

4

5

S(m)

0.600

0.800

1.000

1.200

1.400

t(ms)

8.22

7.17

6.44

5.85

5.43

1/t2(104s-2)

1.48

1.95

2.41

2.92

3.39

以s为横坐标,为纵坐标,请你在图2位置的坐标纸中描出第1和第5个数据点;根据5个数据点作直线,求得该直线的斜率k=__________(保留3位有效数字)。

由测得的h、d、b、M和m数值可以计算出直线的斜率,将k和进行比较,若其差值在实验误差允许的范围内,则可认为此实验验证了机械能守恒定律。

 

查看答案和解析>>

科目:高中物理 来源:2012届汾阳中学高三年级第一学期月考物理试卷 题型:实验题

现要通过实验验证机械能守恒定律。实验装置如右图所示:水平桌面上固定一倾斜的气垫导轨;导轨上A点处有一带长方形遮光片的滑块,其总质量为M,左端由跨过轻质光滑定滑轮的细绳与一质量为m的砝码相连;遮光片两条长边与导轨垂直;导轨上B点有一光电门,可以测试遮光片经过光电门时的挡光时间t,用d表示A点到导轨低端C点的距离,h表示A与C的高度差,b表示遮光片的宽度,s表示A ,B 两点的距离,将遮光片通过光电门的平均速度看作滑块通过B点时的瞬时速度。用g表示重力加速度。完成下列填空和作图;[来源:学|科|网Z|X|X|K]

 

(1)若将滑块自A点由静止释放,则在滑块从A运动至B的过程中,滑块、遮光片与砝码组成的系统重力势能的减小量可表示为_____。动能的增加量可表示为_________。若在运动过程中机械能守恒,与s的关系式为= ________. 

来源:学,科,网Z,X,X,K]

 

(2)多次改变光电门的位置,每次均令滑块自同一点(A点)下滑,测量相应的s与t值,结果如上表所示:以s为横坐标,为纵坐标,在答题卡上对应图2位置的坐标纸中描出第1和第5个数据点;根据5个数据点作直线,求得该直线的斜率k=___________(保留3位有效数字).由测得的h、d、b、M和m数值可以计算出直线的斜率,将k和进行比较,若其差值在试验允许的范围内,则可认为此试验验证了机械能守恒定律。

 

查看答案和解析>>

同步练习册答案