£¨15·Ö£©Ò»°ë¾¶ÎªµÄˮƽ¹â»¬Ô²×ÀÃæ£¬Ô²ÐÄΪ£¬ÓÐÒ»ÊúÖ±µÄÁ¢Öù¹Ì¶¨ÔÚ×ÀÃæÉϵÄÔ²Ðĸ½½ü£¬Á¢ÖùÓë×ÀÃæµÄ½»ÏßÊÇÒ»Ìõ͹µÄƽ»¬µÄ·â±ÕÇúÏߣ¬ÈçͼԤ17-2Ëùʾ¡£Ò»¸ù²»¿ÉÉ쳤µÄÈáÈíµÄϸÇáÉþ£¬Ò»¶Ë¹Ì¶¨ÔÚ·â±ÕÇúÏßÉϵÄijһµã£¬ÁíÒ»¶ËϵһÖÊÁ¿ÎªµÄСÎï¿é¡£½«Ð¡Îï¿é·ÅÔÚ×ÀÃæÉϲ¢°ÑÉþÀ­Ö±£¬ÔÙ¸øÐ¡Îï¿éÒ»¸ö·½ÏòÓëÉþ´¹Ö±¡¢´óСΪµÄ³õËÙ¶È¡£Îï¿éÔÚ×ÀÃæÉÏÔ˶¯Ê±£¬Éþ½«²øÈÆÔÚÁ¢ÖùÉÏ¡£ÒÑÖªµ±ÉþµÄÕÅÁ¦ÎªÊ±£¬Éþ¼´¶Ï¿ª£¬ÔÚÉþ¶Ï¿ªÇ°Îï¿éʼÖÕÔÚ×ÀÃæÉÏÔ˶¯£®

    1£®ÎÊÉþ¸ÕÒª¶Ï¿ªÊ±£¬ÉþµÄÉìÖ±²¿·ÖµÄ³¤¶ÈΪ¶àÉÙ?

2£®ÈôÉþ¸ÕÒª¶Ï¿ªÊ±£¬×ÀÃæÔ²Ðĵ½ÉþµÄÉìÖ±²¿·ÖÓë·â±ÕÇúÏߵĽӴ¥µãµÄÁ¬ÏßÕýºÃÓëÉþµÄÉìÖ±²¿·Ö´¹Ö±£¬ÎÊÎï¿éµÄÂ䵨µãµ½×ÀÃæÔ²ÐĵÄˮƽ¾àÀëΪ¶àÉÙ£¿ÒÑÖª×ÀÃæ¸ß¶È£®Îï¿éÔÚ×ÀÃæÉÏÔ˶¯Ê±Î´ÓëÁ¢ÖùÏàÅö£®È¡ÖØÁ¦¼ÓËÙ¶È´óСΪ£®

²Î¿¼½â´ð

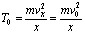
1£®Òò×ÀÃæÊǹ⻬µÄ£¬ÇáÉþÊDz»¿ÉÉ쳤µÄºÍÈáÈíµÄ£¬ÇÒÔÚ¶Ï¿ªÇ°Éþ¶¼ÊDZ»À­½ôµÄ£¬¹ÊÔÚÉþ¶Ï¿ªÇ°£¬Îï¿éÔÚÑØ×ÀÃæÔ˶¯µÄ¹ý³ÌÖУ¬ÆäËÙ¶ÈʼÖÕÓëÉþ´¹Ö±£¬ÉþµÄÕÅÁ¦¶ÔÎï¿é²»×ö¹¦£¬Îï¿éËٶȵĴóС±£³Ö²»±ä¡£ÉèÔÚÉþ¸ÕÒª¶Ï¿ªÊ±ÉþµÄÉìÖ±²¿·ÖµÄ³¤¶ÈΪ£¬Èô´ËʱÎï¿éËٶȵĴóСΪ£¬ÔòÓÐ

                                                             £¨1£©

Éþ¶ÔÎï¿éµÄÀ­Á¦½ö¸Ä±äÎï¿éËٶȵķ½Ïò£¬ÊÇ×÷ÓÃÓÚÎï¿éµÄÏòÐÄÁ¦£¬¹ÊÓÐ

                                                     £¨2£©

Óɴ˵Ã

                                                            £¨3£©

´úÈëÊý¾ÝµÃ                                                £¨4£©

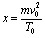
2. ÉèÔÚÉþ¸ÕÒª¶Ï¿ªÊ±£¬Îï¿éλÓÚ×ÀÃæÉϵĵ㣬ÊÇÉþµÄÉìÖ±²¿·Ö£¬Îï¿éËٶȵķ½ÏòÈçͼԤ½â17-2Ëùʾ£®ÓÉÌâÒâ¿ÉÖª£¬£®ÒòÎï¿éÀ뿪×ÀÃæÊ±µÄËÙ¶ÈÈÔΪ£¬Îï¿éÀ뿪×ÀÃæºó±ã×ö³õËÙ¶ÈΪµÄƽÅ×Ô˶¯£¬ÉèÆ½Å×Ô˶¯¾­ÀúµÄʱ¼äΪ£¬ÔòÓÐ

                      £¨5£©

Îï¿é×öƽÅ×Ô˶¯µÄˮƽÉä³ÌΪ

                        £¨6£©

Óɼ¸ºÎ¹ØÏµ£¬Îï¿éÂ䵨µØµãÓë×ÀÃæÔ²ÐĵÄˮƽ¾àÀëΪ

                                           £¨7£©

½â£¨5£©¡¢£¨6£©¡¢£¨7£©Ê½£¬µÃ

                                       (8)

´úÈËÊý¾ÝµÃ      

Á·Ï°²áϵÁдð°¸
Ïà¹ØÏ°Ìâ

¿ÆÄ¿£º¸ßÖÐÎïÀí À´Ô´£º ÌâÐÍ£º

ÈçͼËùʾµÄ×°ÖÃÖУ¬Ë®Æ½Ãæ¡¢Ô²»·¾ù¹â»¬ºÍ¾øÔµ£»ÔÈÇ¿µç³¡µÄµç³¡Ç¿¶ÈΪE£¬·½ÏòÑØË®Æ½ÏòÓÒ£»Ô²»·°ë¾¶ÎªR£¬¸úÔ²»·×îµÍµãAÏà¾àΪL´¦µÄË®Æ½ÃæÉÏÓÐÒ»ÖÊÁ¿Îªm£¬µçºÉÁ¿Îª+qµÄСÇò£¬´Ó¾²Ö¹¿ªÊ¼ÑØË®Æ½¹ìµÀ½øÈëÔ²»·£¬²¢ÔÚÔ²»·ÄÚ×öÔ²ÖÜÔ˶¯£®Îʵ±qE=mgʱ£¬LÓ¦Âú×ãʲôÌõ¼þ£¬²ÅÄÜʹСÇòÔÚÔ²»·ÄÚ×öÍêÕûµÄÔ²ÖÜÔ˶¯£¿

²é¿´´ð°¸ºÍ½âÎö>>

¿ÆÄ¿£º¸ßÖÐÎïÀí À´Ô´£º ÌâÐÍ£º

ÈçͼËùʾ£¬Ò»°ë¾¶ÎªRµÄ¹â»¬Ô²»·£¬ÊúÖ±·ÅÔÚˮƽÏòÓÒµÄÔÈÇ¿µç³¡ÖУ¬ÔÈÇ¿µç³¡µÄµç³¡Ç¿¶È´óСΪE£®»·ÉÏa¡¢cÊÇÊúÖ±Ö±¾¶µÄÁ½¶Ë£¬b¡¢dÊÇˮƽֱ¾¶µÄÁ½¶Ë£¬ÖÊÁ¿ÎªmµÄ´øµçСÇòÌ×ÔÚÔ²»·ÉÏ£¬²¢¿ÉÑØ»·ÎÞĦ²Á»¬¶¯£¬ÒÑ֪СÇò×ÔaµãÓɾ²Ö¹ÊÍ·Å£¬ÑØabcÔ˶¯µ½dµãʱËÙ¶ÈÇ¡ºÃΪÁ㣬ÓÉ´Ë¿É֪СÇòËùÊÜÖØÁ¦
µÈÓÚ
µÈÓÚ
£¨Ñ¡Ìî¡°´óÓÚ¡±¡¢¡°Ð¡ÓÚ¡±»ò¡°µÈÓÚ¡±£©´øµçСÇòËùÊܵľ²µçÁ¦£®Ð¡ÇòÔÚ
b
b
£¨Ñ¡Ìî¡°a¡±¡¢¡°b¡±¡¢¡°c¡±»ò¡°d¡±£©µãʱµÄµçÊÆÄÜ×îС£®

²é¿´´ð°¸ºÍ½âÎö>>

¿ÆÄ¿£º¸ßÖÐÎïÀí À´Ô´£º ÌâÐÍ£º

ÈçͼËùʾ£¬¿É¿´³ÉÖʵãÖÊÁ¿·Ö±ðΪm1=1kgµÄÎïÌåAºÍm2=2kgµÄÎïÌåBÖ®¼ä¼Ð×ÅһѹËõµÄÇá¡¢¶Ìµ¯»É£¬Á½ÎïÌåÓÃϸÏß°ó×Å·ÅÔÚˮƽ´«ËÍ´øÉÏ£¬ÎïÌåÓë´«ËÍ´ø¼äµÄ¶¯Ä¦²ÁÒòÊý¾ùΪ0.2£¬´«ËÍ´øÁ½¶ËÓë¹â»¬Ë®Æ½µØÃæÏàÇУ®Ä³Ò»Ê±¿ÌÉÕ¶ÏϸÏߣ¬Í¬Ê±´«ËÍ´øÒÔv=3m/sµÄºã¶¨ËÙ¶ÈÑØË³Ê±Õë·½ÏòÔ˶¯£¨ºöÂÔ´«ËÍ´ø¼ÓËٺ͵¯»Éµ¯¿ªµÄʱ¼ä£©£®µ¯¿ªÊ±£¬A»ñµÃµÄËÙ¶ÈΪvA=4m/s£¬A¡¢B¾à´«ËÍ´øÁ½¶ËµÄ¾àÀëÈçͼËùʾ£¬£¨È¡g=10m/s2£©Çó£º

£¨1£©µ¯¿ª¹ý³Ìµ¯»ÉÊͷŵĵ¯ÐÔÊÆÄÜ£®
£¨2£©A¡¢Bµ½´ï´«ËÍ´øÁ½¶ËʱµÄËÙ¶È´óС£®
£¨3£©ÈôÔÚ´«ËÍ´øÁ½¶ËÍâµÄˮƽµØÃæÉϸ÷¹Ì¶¨·ÅÖÃÒ»°ë¾¶ÏàͬµÄ¹â»¬ÊúÖ±Ô²¹ìµÀ£¬ÒªÊ¹Á½ÎïÌåµÚÒ»´Î³åÉÏÄÚÔ²¹ìµÀºó¶¼²»ÍÑÀë¹ìµÀ£¬¹ìµÀ°ë¾¶Ó¦Âú×ãʲôÌõ¼þ£¿

²é¿´´ð°¸ºÍ½âÎö>>

¿ÆÄ¿£º¸ßÖÐÎïÀí À´Ô´£º ÌâÐÍ£º

¾«Ó¢¼Ò½ÌÍøÒ»°ë¾¶ÎªRµÄ¹â»¬Ô²»·ÊúÖ±·ÅÔÚˮƽÏòÓҵij¡Ç¿ÎªEµÄÔÈÇ¿µç³¡ÖУ¬ÈçͼËùʾ£¬»·ÉÏa¡¢cÊÇÊúÖ±Ö±¾¶µÄÁ½¶Ë£¬b¡¢dÊÇˮƽֱ¾¶µÄÁ½¶Ë£¬ÖÊÁ¿ÎªmµÄ´øµçСÇòÌ×ÔÚÔ²»·ÉÏ£¬²¢¿ÉÑØ»·ÎÞĦ²Á»¬¶¯£¬ÒÑ֪СÇò×ÔaµãÓɾ²Ö¹ÊÍ·Å£¬ÑØabcÔ˶¯µ½dµãʱËÙ¶ÈÇ¡ºÃΪÁ㣬ÓÉ´Ë¿ÉÖª£¨¡¡¡¡£©
A¡¢Ð¡ÇòËùÊÜÖØÁ¦Óëµç³¡Á¦´óСÏàµÈB¡¢Ð¡ÇòÔÚbµãʱµÄ»úеÄÜ×îСC¡¢Ð¡ÇòÔÚdµãʱµÄµçÊÆÄÜ×î´óD¡¢Ð¡ÇòÔÚcµãʱµÄ¶¯ÄÜ×î´ó

²é¿´´ð°¸ºÍ½âÎö>>

¿ÆÄ¿£º¸ßÖÐÎïÀí À´Ô´£º ÌâÐÍ£º

£¨09ÄêÌì½òÊÐÊ®¶þÇøÏØÁª¿¼£©ÈçͼËùʾ£¬Á½¸ù¹â»¬Ö±¸Ë(´Öϸ¿ÉºöÂÔ²»¼Æ)ˮƽƽÐзÅÖã¬Ò»ÖÊÁ¿Îª¡¢°ë¾¶ÎªµÄ¾ùÔÈϸԲ»·Ì×ÔÚÁ½¸ùÖ±¸ËÉÏ£¬Á½¸ËÖ®¼äµÄ¾àÀëΪ£¬¼×ͼΪÁ¢Ìåͼ£¬ÒÒͼΪ²àÊÓͼ¡£ÏÖ½«Á½¸ËÑØË®Æ½·½Ïò»ºÂý¿¿½üÖ±ÖÁÁ½¸Ë½Ó´¥ÎªÖ¹£¬Ôڴ˹ý³ÌÖÐ

A£®Ã¿¸ùϸ¸Ë¶ÔÔ²»·µÄµ¯Á¦¾ùÔö¼Ó

B£®Ã¿¸ùϸ¸Ë¶ÔÔ²»·µÄ×î´óµ¯Á¦¾ùΪ

C£®Ã¿¸ùϸ¸Ë¶ÔÔ²»·µÄµ¯Á¦¾ù²»×ö¹¦

D£®Ã¿¸ùϸ¸Ë¶ÔÔ²»·Ëù×öµÄ¹¦¾ùΪ

²é¿´´ð°¸ºÍ½âÎö>>

ͬ²½Á·Ï°²á´ð°¸