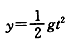
¸ß̨»¬Ñ©ÒÔÆä¾ªÏմ̼¤¶øÎÅÃû£¬Ô˶¯Ô±ÔÚ¿ÕÖеķÉÔ¾×ËÊÆ¾ßÓкÜÇ¿µÄ¹ÛÉÍÐÔ¡£Ä³»¬Ñ©¹ìµÀµÄÍêÕû½á¹¹¿ÉÒÔ¼ò»¯³ÉÈçͼËùʾµÄʾÒâͼ£¬ÆäÖÐAB¶ÎÊÇÖú»¬Ñ©µÀ£¬Çã½Ç¦Á=300£¬BC¶ÎÊÇˮƽÆðÌøÌ¨£¬AB¶ÎÓëBC¶ÎÔ²»¬ÏàÁ¬£¬CD¶ÎÊÇÇãб׎ѩµÀ£¬DE¶ÎÊÇˮƽ׎ѩµÀ£¬CD¶ÎÓëDE¶ÎÔ²»¬ÏàÁ¬£¬Çã½Ç¦È=370£¬¹ìµÀ¸÷²¿·ÖÓ뻬ѩ°å¼äµÄ¶¯Ä¦²ÁÒòÊý¾ùΪ¦Ì=0. 25£¬Í¼ÖйìµÀ×î¸ßµãA´¦µÄÆð»¬Ì¨¾àÆð£¬ÌøÌ¨BCµÄÊúÖ±¸ß¶Èh=10m£¬AµãÓëCµãµÄˮƽ¾àÀëL1=20m£¬CµãÓëDµãµÄ¾àÀëΪ32. 625m£¬Ô˶¯Ô±Á¬Í¬»¬Ñ©°åµÄÖÊÁ¿m=60kg£¬»¬Ñ©Ô˶¯Ô±´ÓAµãÓɾ²Ö¹¿ªÊ¼Æð»¬£¬Í¨¹ýÆðÌøÌ¨´ÓCµãˮƽ·É³ö£¬ÔÚÂ䵽׎ѩµÀCDÉÏʱ£¬Ô˶¯Ô±¿¿¸Ä±ä×ËÊÆ½øÐлº³åʹ×Ô¼ºÖ»±£ÁôÑØ×ŽѩµÀµÄ·ÖËٶȶø²»µ¯Æð¡£³ý»º³åÍâÔ˶¯Ô±¾ù¿ÉÊÓΪÖʵ㣬ÉèÔ˶¯Ô±ÔÚÈ«¹ý³ÌÖв»Ê¹ÓÃÑ©ÕÈÖú»¬£¬ºöÂÔ¿ÕÆø×èÁ¦µÄÓ°Ïì£¬È¡ÖØÁ¦¼ÓËÙ¶Èg=10m/s2£¬sin370=0.6£¬cos370=0.8£®Çó£º
£¨1£©Ô˶¯Ô±ÔÚCµãˮƽ·É³öʱËٶȵĴóС£»
£¨2£©Ô˶¯Ô±ÔÚ¿ÕÖзÉÐеÄʱ¼ä£»
£¨3£©Ô˶¯Ô±ÔÚ׎ѩµÀCDÉϵÄ׎λÖÃÓëDµãµÄ¾àÀ룻
£¨4£©Ë®Æ½×ŽѩµÀDE¶ÎµÄ×îС³¤¶È¡£
½â£º£¨1£©»¬Ñ©Ô˶¯Ô±´ÓAµ½CµÄ¹ý³ÌÖУ¬Óɶ¯Äܶ¨ÀíµÃ£º
½âµÃ£ºvC=10m/s¡£
£¨2£©»¬Ñ©Ô˶¯Ô±´ÓCˮƽ·É³öµ½Â䵽׎ѩµÀ¹ý³ÌÖÐ×öƽÅ×Ô˶¯£¬x=vCt
£¬
½âµÃ£ºt=l.5s¡£
£¨3£©×ŽλÖÃÓëCµãµÄ¾àÀ룬
׎λÖõ½DµãµÄ¾àÀës'=13.875m¡£
£¨4£©mgx'sin¦È-¦ÌmgL2-¦Ìmgs' cos¦È=0-1/2m(vCcos¦ÈÊ®vysin¦È)2
½âµÃ£ºL2=80m¡£
Á·Ï°²áϵÁдð°¸
Ïà¹ØÏ°Ìâ

¿ÆÄ¿£º¸ßÖÐÎïÀí À´Ô´£º ÌâÐÍ£º

¸ß̨»¬Ñ©ÒÔÆä¾ªÏմ̼¤¶øÎÅÃû£¬Ô˶¯Ô±ÔÚ¿ÕÖеķÉÔ¾×ËÊÆ¾ßÓкÜÇ¿µÄ¹ÛÉÍÐÔ£®Ä³»¬Ñ©¹ìµÀµÄÍêÕû½á¹¹¿ÉÒÔ¼ò»¯³ÉÈçͼËùʾµÄʾÒâͼ£®ÆäÖÐAB¶ÎÊÇÖú»¬Ñ©µÀ£¬BC¶ÎÊÇˮƽÆðÌøÌ¨£¬CD¶ÎÊÇ׎ѩµÀ£¬AB¶ÎÓëBC¶ÎÔ²»¬ÏàÁ¬£¬DE¶ÎÊÇһС¶Î¹â»¬µÄÔ²»¡£¨¼´Ô˶¯Ô±ÔÚDµãºÍEµãËÙ¶È´óСÏàµÈ£©£¬ÔÚD¡¢EÁ½µã·Ö±ðÓëCD¡¢EFÏàÇУ¬EFÊǼõËÙÑ©µÀ£¬Çã½Ç¦È=37¡ã£®¹ìµÀ¸÷²¿·ÖÓ뻬ѩ°å¼äµÄ¶¯Ä¦²ÁÒòÊý¾ùΪ¦Ì=0.25£¬CµãÓëDµãµÄ¾àÀëΪ32.625m£®Ô˶¯Ô±Á¬Í¬»¬Ñ©°åµÄÖÊÁ¿m=60kg£¬»¬Ñ©Ô˶¯Ô±´ÓAµãÓɾ²Ö¹¿ªÊ¼Æð»¬£¬Í¨¹ýÆðÌøÌ¨´ÓCµãÒÔ10m/sµÄËÙ¶Èˮƽ·É³ö£¬ÔÚÂ䵽׎ѩµÀÉÏʱ£¬Ô˶¯Ô±¿¿¸Ä±ä×ËÊÆ½øÐлº³åʹ×Ô¼ºÖ»±£ÁôÑØ×ŽѩµÀµÄ·ÖËٶȶø²»µ¯Æð£® ³ý»º³åÍâÔ˶¯Ô±¾ù¿ÉÊÓΪÖʵ㣬ÉèÔ˶¯Ô±ÔÚÈ«¹ý³ÌÖв»Ê¹ÓÃÑ©ÕÈÖú»¬£¬ºöÂÔ¿ÕÆø×èÁ¦µÄÓ°Ïì£¬È¡ÖØÁ¦¼ÓËÙ¶Èg=10m/s2£¬sin37¡ã=0.6£¬cos37¡ã=0.8£®Çó£º
£¨1£©Ô˶¯Ô±ÔÚ׎ѩµÀCDÉϵÄ׎λÖÃÓëCµãµÄ¾àÀ룻
£¨2£©Ô˶¯Ô±»¬¹ýDµãʱµÄËÙ¶È´óС£»
£¨3£©´ÓÔ˶¯Ô±µ½´ïEµãÆð£¬¾­3.0sÕýºÃͨ¹ý¼õËÙÑ©µÀEFÉϵÄGµã£¬ÇóEGÖ®¼äµÄ¾àÀ룮

²é¿´´ð°¸ºÍ½âÎö>>

¿ÆÄ¿£º¸ßÖÐÎïÀí À´Ô´£º ÌâÐÍ£º

¸ß̨»¬Ñ©ÒÔÆä¾ªÏմ̼¤¶øÎÅÃû£¬Ô˶¯Ô±ÔÚ¿ÕÖеķÉÔ¾×ËÊÆ¾ßÓкÜÇ¿µÄ¹ÛÉÍÐÔ£®Ä³»¬Ñ©¹ìµÀµÄÍêÕû½á¹¹¿ÉÒÔ¼ò»¯³ÉÈçͼËùʾµÄʾÒâͼ£®ÆäÖÐAB¶ÎÊÇÖú»¬Ñ©µÀ£¬Çã½Ç
¦Á=30¡ã£¬BC¶ÎÊÇˮƽÆðÌøÌ¨£¬CD¶ÎÊÇ׎ѩµÀ£¬AB¶ÎÓëBC¶ÎÔ²»¬ÏàÁ¬£¬DE¶ÎÊÇһС¶ÎÔ²»¡£¨Æä³¤¶È¿ÉºöÂÔ£©£¬ÔÚD¡¢EÁ½µã·Ö±ðÓëCD¡¢EFÏàÇУ¬EFÊǼõËÙÑ©µÀ£¬Çã½Ç¦È=37¡ã£®¹ìµÀ¸÷²¿·ÖÓ뻬ѩ°å¼äµÄ¶¯Ä¦²ÁÒòÊý¾ùΪ¦Ì=0.25£¬Í¼ÖйìµÀ×î¸ßµãA´¦µÄÆð»¬Ì¨¾àÆðÌøÌ¨BCµÄÊúÖ±¸ß¶Èh=10m£®AµãÓëCµãµÄˮƽ¾àÀëL1=20m£¬CµãÓëDµãµÄ¾àÀëΪ32.625m£®Ô˶¯Ô±Á¬Í¬»¬Ñ©°åµÄÖÊÁ¿m=60kg£¬»¬Ñ©Ô˶¯Ô±´ÓAµãÓɾ²Ö¹¿ªÊ¼Æð»¬£¬Í¨¹ýÆðÌøÌ¨´ÓCµãˮƽ·É³ö£¬ÔÚÂ䵽׎ѩµÀÉÏʱ£¬Ô˶¯Ô±¿¿¸Ä±ä×ËÊÆ½øÐлº³åʹ×Ô¼ºÖ»±£ÁôÑØ×ŽѩµÀµÄ·ÖËٶȶø²»µ¯Æð£®³ý»º³åÍâÔ˶¯Ô±¾ù¿ÉÊÓΪÖʵ㣬ÉèÔ˶¯Ô±ÔÚÈ«¹ý³ÌÖв»Ê¹ÓÃÑ©ÕÈÖú»¬£¬ºöÂÔ¿ÕÆø×èÁ¦µÄÓ°Ïì£¬È¡ÖØÁ¦¼ÓËÙ¶Èg=10m/s2£¬sin37¡ã=0.6£¬cos37¡ã=0.8£®Çó£º
£¨1£©Ô˶¯Ô±ÔÚCµãˮƽ·É³öʱËٶȵĴóС£»
£¨2£©Ô˶¯Ô±ÔÚ׎ѩµÀCDÉϵÄ׎λÖÃÓëCµãµÄ¾àÀ룻
£¨3£©Ô˶¯Ô±»¬¹ýDµãʱµÄËÙ¶È´óС£»
£¨4£©´ÓÔ˶¯Ô±µ½´ïEµãÆð£¬¾­3.0sÕýºÃͨ¹ý¼õËÙÑ©µÀÉϵÄGµã£¬ÇóEGÖ®¼äµÄ¾àÀ룮

²é¿´´ð°¸ºÍ½âÎö>>

¿ÆÄ¿£º¸ßÖÐÎïÀí À´Ô´£º ÌâÐÍ£º

£¨2011?´¬ÓªÇøÄ£Ä⣩¸ß̨»¬Ñ©ÒÔÆä¾ªÏմ̼¤¶øÎÅÃû£¬Ô˶¯Ô±ÔÚ¿ÕÖеķÉÔ¾×ËÊÆ¾ßÓкÜÇ¿µÄ¹ÛÉÍÐÔ£®Ä³»¬Ñ©¹ìµÀµÄÍêÕû½á¹¹¿ÉÒÔ¼ò»¯³ÉÈçͼ24ËùʾµÄʾÒâͼ£®ÆäÖÐAB¶ÎÊÇÖú»¬ÆÂ£¬Çã½Ça=37¡ã£»BC¶ÎÊÇˮƽÆðÌøÌ¨£»CD¶ÎÊÇ׎ÆÂ£¬Çã½Ç¦È=30¡ã£»DE¶ÎÊÇˮƽµÄÍ£Ö¹Çø£¬AB¶ÎÓëBC¶ÎÔ²»¬ÏàÁ¬£®¹ìµÀ¸÷²¿·ÖÓ뻬ѩ°å¼äµÄ¶¯Ä¦²ÁÒòÊý¾ùΪ¦Ì=0.03£¬Í¼ÖйìµÀ×î¸ßµãA´¦µÄÆð»¬Ì¨¾àÆðÌøÌ¨BCµÄÊúÖ±¸ß¶Èh=47m£¬Ë®Æ½ÆðÌøÌ¨BC³¤s=4.0m£®Ô˶¯Ô±Á¬Í¬»¬Ñ©°åµÄÖÊÁ¿m=60kg£¬»¬Ñ©Ô˶¯Ô±´ÓAµãÓɾ²Ö¹¿ªÊ¼Æð»¬£¬Í¨¹ýÆðÌøÌ¨´ÓCµãˮƽ·É³ö£¬Ô˶¯Ô±ÔÚ׎ÆÂCDÉϵÄ׎£®ÉèÔ˶¯Ô±ÔÚÆðÌøÇ°²»Ê¹ÓÃÑ©ÕÈÖú»¬£¬ÎÞ³õËÙ»¬Ï£¬ºöÂÔ¿ÕÆø×èÁ¦µÄÓ°Ïì£¬ÖØÁ¦¼ÓËÙ¶ÈgÈ¡10m/s2£¨sin37¡ã=0.6£¬cos37¡ã=0.8£©£®Çó
£¨1£©Ô˶¯Ô±ÔÚCµãÆðÌøÊ±µÄËÙ¶È´óС
£¨2£©Ô˶¯Ô±ÔÚ׎ÆÂCDÉϵÄ׎λÖÃÓëCµãµÄ¾àÀ룮

²é¿´´ð°¸ºÍ½âÎö>>

¿ÆÄ¿£º¸ßÖÐÎïÀí À´Ô´£º ÌâÐÍ£º

¸ß̨»¬Ñ©ÒÔÆä¾ªÏմ̼¤¶øÎÅÃû£¬Ô˶¯Ô±ÔÚ¿ÕÖеķÉÔ¾×ËÊÆ¾ßÓкÜÇ¿µÄ¹ÛÉÍÐÔ£®Ä³»¬Ñ©¹ìµÀµÄÍêÕû½á¹¹¿ÉÒÔ¼ò»¯³ÉÈçͼËùʾµÄʾÒâͼ£®ÆäÖÐAB¶ÎÊÇÖú»¬ÆÂ£¬Çã½Ç
=37¡ã£¬BC¶ÎÊÇˮƽÆðÌøÌ¨£¬CD¶ÎÊÇ׎ÆÂ£¬Çã½Ç¦È=30¡ã£¬DE¶ÎÊÇÍ£Ö¹Çø£¬AB¶ÎÓëBC¶Îͨ¹ýÒ»ºÜСµÄÔ²»¡Æ½»¬ÏàÁ¬£®¹ìµÀ¸÷²¿·ÖÓ뻬ѩ°å¼äµÄ¶¯Ä¦²ÁÒòÊý¾ùΪ¦Ì=0.03£¬Í¼ÖйìµÀ×î¸ßµãA´¦µÄÆð»¬Ì¨¾àÆðÌøÌ¨BCµÄÊúÖ±¸ß¶Èh=47m£¬ÆðÌøÌ¨BC³¤¶Èl=4m£®»¬Ñ©Ô˶¯Ô±´ÓAµãÓɾ²Ö¹¿ªÊ¼Æð»¬£¬Í¨¹ýÆðÌøÌ¨´ÓCµãˮƽ·É³ö£¬×ŽλÖÃÔÚ׎ÆÂÉÏ£®ÉèÔ˶¯Ô±ÔÚÆðÌøÇ°²»Ê¹ÓÃÑ©ÕÈÖú»¬£¬ºöÂÔ¿ÕÆø×èÁ¦µÄÓ°Ïì£¬È¡ÖØÁ¦¼ÓËÙ¶Èg=10m/s2£¬sin37¡ã=0.6£¬cos37¡ã=0.8£®Çó
£¨1£©Ô˶¯Ô±ÔÚCµãÆðÌøÊ±ËٶȵĴóС£»
£¨2£©Ô˶¯Ô±´ÓCµãÆðÌøºóµ½Â䵽׎ÆÂÉϵÄʱ¼ä£»
£¨3£©Cµãµ½×ŽÆÂÉÏ׎µãµÄ¾àÀ룮

²é¿´´ð°¸ºÍ½âÎö>>

¿ÆÄ¿£º¸ßÖÐÎïÀí À´Ô´£º ÌâÐÍ£º

¸ß̨»¬Ñ©ÒÔÆä¾ªÏմ̼¤¶øÎÅÃû£¬Ô˶¯Ô±ÔÚ¿ÕÖеķÉÔ¾×ËÊÆ¾ßÓкÜÇ¿µÄ¹ÛÉÍÐÔ¡£Ä³»¬Ñ©¹ìµÀµÄÍêÕû½á¹¹¿ÉÒÔ¼ò»¯³ÉÈçͼËùʾµÄʾÒâͼ¡£ÆäÖÐAB¶ÎÊÇÖú»¬Ñ©µÀ£¬Çã½Ç¦Á=30¡ã£¬BC¶ÎÊÇˮƽÆðÌøÌ¨£¬CD¶ÎÊÇ׎ѩµÀ£¬ AB¶ÎÓëBC¶ÎÔ²»¬ÏàÁ¬£¬DE¶ÎÊÇһС¶ÎÔ²»¡£¨Æä³¤¶È¿ÉºöÂÔ£©£¬ÔÚD¡¢EÁ½µã·Ö±ðÓëCD¡¢EFÏàÇУ¬EFÊǼõËÙÑ©µÀ£¬Çã½Ç¦È=37¡ã¡£¹ìµÀ¸÷²¿·ÖÓ뻬ѩ°å¼äµÄ¶¯Ä¦²ÁÒòÊý¾ùΪ¦Ì=0.25£¬Í¼ÖйìµÀ×î¸ßµãA´¦µÄÆð»¬Ì¨¾àÆðÌøÌ¨BCµÄÊúÖ±¸ß¶Èh=10 m¡£AµãÓëCµãµÄˮƽ¾àÀëL1=20 m. Ô˶¯Ô±Á¬Í¬»¬Ñ©°åµÄÖÊÁ¿m£½60 kg£¬»¬Ñ©Ô˶¯Ô±´ÓAµãÓɾ²Ö¹¿ªÊ¼Æð»¬£¬Í¨¹ýÆðÌøÌ¨´ÓCµãˮƽ·É³ö£¬ÂäÔÚ׎ѩµÀCDÉϺóÑØÐ±ÃæÏ»¬µ½DʱËÙ¶ÈΪ20m/s. Ô˶¯Ô±¿ÉÊÓΪÖʵ㣬ÉèÔ˶¯Ô±ÔÚÈ«¹ý³ÌÖв»Ê¹ÓÃÑ©ÕÈÖú»¬£¬ºöÂÔ¿ÕÆø×èÁ¦µÄÓ°Ï죬sin37¡ã£½0.6£¬cos37¡ã£½0.8. Çó£º

£¨1£©Ô˶¯Ô±´ÓAµãµ½CµãµÄ¹ý³ÌÖп˷þĦ²ÁÁ¦Ëù×öµÄ¹¦£»

£¨2£©ÔÚ׎ѩµÀCDÉϵÄ׎λÖÃÓëCµãµÄ¾àÀ룻

£¨3£©´ÓÔ˶¯Ô±µ½´ïDµãÆð£¬¾­3.0sÕýºÃͨ¹ý¼õËÙÑ©µÀEFÉϵÄGµã£¬ÇóEGÖ®¼äµÄ¾àÀë¡£

²é¿´´ð°¸ºÍ½âÎö>>

ͬ²½Á·Ï°²á´ð°¸