利用霍尔效应制作的霍尔元件以及传感器,广泛应用于测量和自动控制等领域。
如图1,将一金属或半导体薄片垂直置于磁场B中,在薄片的两个侧面a、b间通以电流I时,另外两侧c、f间产生电势差,这一现象称为霍尔效应。其原因是薄片中的移动电荷受洛伦兹力的作用向一侧偏转和积累,于是c、f间建立起电场E
H,同时产生霍尔电势差U
H。当电荷所受的电场力与洛伦兹力处处相等 时,E
H和U
H达到稳定值,U
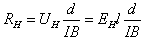
H的大小与I和B以及霍尔元件厚度d之间满足关系式U
H=R
H
,其中比例系数R
H称为霍尔系数,仅与材料性质有关。
(1)设半导体薄片的宽度(c、f间距)为l,请写出UH和EH的关系式;若半导体材料是电子导电的,请判断图1中c、f哪端的电势高;
(2)已知半导体薄片内单位体积中导电的电子数为n,电子的电荷量为e,请导出霍尔系数RH的表达式(通过横截面积S的电流I=nevS,其中v是导电电子定向移动的平均速率);
(3)图2是霍尔测速仪的示意图,将非磁性圆盘固定在转轴上,圆盘的周边等距离地嵌装着m个永磁体,相邻永磁体的极性相反。霍尔元件置于被测圆盘的边缘附近。当圆盘匀速转动时,霍尔元件输出的电压脉冲信号图象如图3所示。
a.若在时间t内,霍尔元件输出的脉冲数目为P,请导出圆盘转速N的表达式;
b.利用霍尔测速仪可以测量汽车行驶的里程,除此之外,请你展开“智慧的翅膀”,提出另一个实例或设想。