精英家教网 > 高中物理 > 题目详情
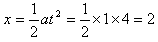
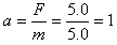
如图所示,用F=5.0 N的水平拉力,使质量m=5.0 kg的物体由静止开始沿光滑水平面做匀加速直线运动,经历2S钟。求:这段时间内,力F对物体做的功W。
练习册系列答案
相关习题

科目:高中物理 来源: 题型:

(2010?通州区模拟)如图所示,用F=5.0N的水平拉力,使质量m=5.0kg的物体由静止开始沿光滑水平面做匀加速直线运动.求:
(1)物体开始运动后t=2.0s内通过的距离x;
(2)这段时间内,力F对物体做的功W.

查看答案和解析>>

科目:高中物理 来源: 题型:

如图所示,用F = 5.0 N的水平拉力,使质量m = 5.0 kg的物体由静止开始沿光滑水平面做匀加速直线运动.求:

(1)物体开始运动后t = 2.0 s内通过的距离x;

(2)这段时间内,力F对物体做的功W。

查看答案和解析>>

科目:高中物理 来源: 题型:

如图所示,用F = 5.0 N的水平拉力,使质量m = 5.0 kg的物体由静止开始沿光滑水平面做匀加速直线运动.求:

(1)物体开始运动后t =2.0 s内通过的距离x;

(2)这段时间内,力F对物体做的功W。

 

查看答案和解析>>

科目:高中物理 来源:2010-2011学年安徽省安庆市示范高中高一三校联考物理试卷 题型:计算题

如图所示,用F =" 5.0" N的水平拉力,使质量m =" 5.0" kg的物体由静止开始沿光滑水平面做匀加速直线运动.求:
(1)物体开始运动后t =" 2.0" s内通过的距离x;
(2)这段时间内,力F对物体做的功W。

查看答案和解析>>

科目:高中物理 来源:2013届安徽省安庆市高一三校联考物理试卷 题型:计算题

如图所示,用F = 5.0 N的水平拉力,使质量m = 5.0 kg的物体由静止开始沿光滑水平面做匀加速直线运动.求:

(1)物体开始运动后t = 2.0 s内通过的距离x;

(2)这段时间内,力F对物体做的功W。

 

查看答案和解析>>

同步练习册答案