精英家教网 > 高中物理 > 题目详情
图中滑块和小球的质量均为m,滑块可在水平放置的光滑固定导轨上自由滑动,小球与滑块上的悬点O由一不可伸长的轻绳相连,轻绳长为l。开始时,轻绳处于水平拉直状态,小球和滑块均静止。现将小球由静止释放,当小球到达最低点时,滑块刚好被一表面涂有粘性物质的固定挡板粘住,在极短的时间内速度减为零,小球继续向左摆动,当轻绳与竖直方向的夹角θ=60°时小球达到最高点。求
(1)从滑块与挡板接触到速度刚好变为零的过程中,挡板阻力对滑块的冲量;
(2)小球从释放到第一次到达最低点的过程中,绳的拉力对小球做功的大小。
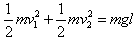
解:(1)小球第一次到达最低点时,滑快和小球的速度分别为v1和v2,由机械能守恒定律得:
 ①
小球由最低点向左摆动到最高点,由机械能守恒定律得:
 ②
联立①②两式得:v1=v2= ③
设所求的挡板阻力对滑块的冲量为I,规定动量方向向右为正,有:I=0-mv1
解得:I=-m ④
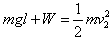
(2)小球从开始释放到第一次到达最低点的过程中,设绳对小球的拉力做的功为W,由动能定理得:
 ⑤
联立③⑤得:
小球从开始释放到第一次到达最低点的过程中,绳对小球的拉力做的功大小为
练习册系列答案
相关习题

科目:高中物理 来源: 题型:

(2010?奉贤区一模)图中滑块和小球的质量均为m,滑块可在水平放置的光滑固定导轨上自由滑动,小球与滑块上的悬点O由一不可伸长的轻绳相连,轻绳长为l.开始时,轻绳处于水平拉直状态,小球和滑块均静止.现将小球由静止释放,当小球到达最低点时,滑块刚好被一表面涂有粘住物质的固定挡板粘住,在极短的时间内速度减为零,小球继续向左摆动,当轻绳与竖直方向的夹角θ=60°时小球到达最高点.求:
(1)小球到达最低点时速度的大小;
(2)滑块与挡板刚接触的瞬时,滑块速度的大小;
(3)小球从释放到第一次到达最低点的过程中,绳的拉力对小球所做的功.

查看答案和解析>>

科目:高中物理 来源: 题型:

图中滑块和小球的质量均为m,滑块可在水平放置的光滑固定导轨上自由滑动,小球与滑块上的悬点O由一不可伸长的轻绳相连,轻绳长为l.开始时,轻绳处于水平拉直状态,小球和滑块均静止.现将小球由静止释放,当小球到达最低点时,滑块刚好被一表面涂有粘住物质的固定挡板粘住,在极短的时间内速度减为零,小球继续向左摆动,当轻绳与竖直方向的夹角θ=60°时小球到达最高点.求
(1)滑块与挡板刚接触的瞬时,滑块速度的大小
(2)小球从释放到第一次到达最低点的过程中,绳的拉力对小球所做的功.

查看答案和解析>>

科目:高中物理 来源: 题型:

(2008?浙江)图中滑块和小球的质量均为m,滑块可在水平放置的光滑固定导轨上自由滑动,小球与滑块上的悬点O由一不可伸长的轻绳相连,轻绳长为l.开始时,轻绳处于水平拉直状态,小球和滑块均静止.现将小球由静止释放,当小球到达最低点时,滑块刚好被一表面涂有粘性物质的固定挡板粘住,在极短的时间内速度减为零,小球继续向左摆动,当轻绳与竖直方向的夹角θ=60°时小球达到最高点.求
(1)从滑块与挡板接触到速度刚好变为零的过程中,挡板阻力对滑块的冲量;
(2)小球从释放到第一次到达最低点的过程中,绳的拉力对小球做功的大小.

查看答案和解析>>

科目:高中物理 来源: 题型:

图中滑块和小球的质量均为m,滑块可在水平放置的光滑固定导轨上自由滑动,小球与滑块上的悬点O由一不可伸长的轻绳相连,轻绳长为l1.开始时,轻绳处于水平拉直状态,小球和滑块均静止.现将小球由静止释放,当小球到达最低点时,滑块刚好被一表面涂有粘住物质的固定挡板粘住,在极短的时间内速度减为零,小球继续向左摆动,当轻绳与竖直方向的夹角θ=60°时小球达到最高点.求:

从滑块与挡板接触到速度刚好变为零的过程中,挡板阻力对滑块的冲量;

小球从释放到第一次到达最低点的过程中,绳的拉力对小球做功的大小.

 


查看答案和解析>>

科目:高中物理 来源:2013届福建省高一下学期期末考试物理 题型:计算题

(12分)图中滑块和小球的质量均为m,滑块可在水平放置的光滑固定导轨上自由滑动,小球与滑块上的悬点O由一不可伸长的轻绳相连,轻绳长为.开始时,轻绳处于水平拉直状态,小球和滑块均静止.现将小球由静止释放,当小球到达最低点时,滑块刚好被一表面涂有粘住物质的固定挡板粘住,在极短的时间内速度减为零,小球继续向左摆动,当轻绳与竖直方向的夹角θ=60°时小球到达最高点.求

(1)小球到达最低点时速度的大小;

(2)滑块与挡板刚接触的瞬时,滑块速度的大小;

(3)小球从释放到第一次到达最低点的过程中,绳的拉力对小球所做的功.

 

 

 

查看答案和解析>>

同步练习册答案