精英家教网 > 高中物理 > 题目详情

如图(甲)所示,有一水平外力F推着一个静止在倾角为θ的光滑斜面上的物体,逐渐增大F,物体做变加速运动,其加速度a随外力F变化的图像如图(乙)所示,若重力加速度g取10 m/s2.根据图(乙)中所提供的信息可以计算出

(sin 37°=0.6)(  )

A.物体的质量

B.斜面的倾角

C.物体能静止在斜面上所施加的外力

D.加速度为6 m/s2时物体的速度


ABC解析:分析物体受力,由牛顿第二定律得Fcos θ-mgsin θ=ma,由F=0时,a=-6 m/s2,解得θ=37°.由a=F-gsin θ和aF图像知:图像斜率=,解得m=2 kg,物体静止时的最小外力Fmincos θ=mgsin θ,Fmin=mgtan θ=15 N,但由题给条件无法求出物体加速度为6 m/s2时的速度,故选项A、B、C正确,D错误.


练习册系列答案
相关习题

科目:高中物理 来源: 题型:


密封的体积为2L的理想气体,压强为2atm,温度为270C。加热后,压强和体积各增加20%,则它的最后温度是        

查看答案和解析>>

科目:高中物理 来源: 题型:


一频率f=1.75HZ的简谐横波沿水平方向由P点向Q点沿直线传播,P、Q两点间距1m,某时刻,P在波谷处,Q恰好在平衡位置。若波长λ>2m,则该波波长λ=_____m,波速v=___m/s.

查看答案和解析>>

科目:高中物理 来源: 题型:


改变物体的质量和速度,都能使物体的动能发生改变,在下列几种情况下,物体的动能是原来的4倍的是

A.质量不变,速度增大到原来2倍              B.速度不变,质量增大到原来2倍

C.质量减半,速度增大到原来4倍              D.速度减半,质量增大到原来4倍

查看答案和解析>>

科目:高中物理 来源: 题型:


将一个小球以10 m/s的速度沿水平方向抛出,小球经过2 s的时间落地。不计空气阻力作用。求:

(1)抛出点与落地点在竖直方向的高度差;

(2)小球落地时的速度大小。

查看答案和解析>>

科目:高中物理 来源: 题型:


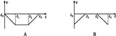
某人在地面上用弹簧秤称得其体重为490 N,他将弹簧秤移至电梯内称其体重,t0至t3时间段内,弹簧秤的示数如图所示,电梯运行的vt图可能是(取电梯向上运动的方向为正)(  )

查看答案和解析>>

科目:高中物理 来源: 题型:


如图所示,A、B两小球分别连在轻绳两端,B球另一端用弹簧固定在倾角为30°的光滑斜面上.A、B两小球的质量分别为mA、mB,重力加速度为g,若不计弹簧质量,在线被剪断瞬间,A、B两球的加速度大小分别为(  )

A.都等于g/2     B.g/2和0

C.g/2和·    D.·和g/2

查看答案和解析>>

科目:高中物理 来源: 题型:


关于摩擦力对物体做功,以下说法中正确的是   (       ).

A.滑动摩擦力总是做负功

B.滑动摩擦力可能做负功,也可能做正功

C.静摩擦力对物体一定做负功

D.静摩擦力对物体总是做正功 

查看答案和解析>>

科目:高中物理 来源: 题型:


如图,间距为L的平行金属导轨上有一电阻为r的金属棒ab与导轨接触良好.导轨一端连接电阻R,其它电阻不计,磁感应强度为B,金属棒ab以速度v向右作匀速运动,则

  A.回路中电流为逆时针方向

  B.电阻R两端的电压为BLv

  C.ab棒受到的安培力的方向向左

D.ab棒中电流大小为

 


查看答案和解析>>

同步练习册答案