精英家教网 > 高中物理 > 题目详情
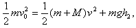
光滑水平面上放着一质量为M的槽,槽与水平面相切且光滑,如图所示,一质量为m的小球以v0向槽运动。
(1)若开始时槽固定不动,求小球上升的高度(槽足够高);
(2)若开始时槽不固定,则小球又能上升多高。
解:(1)槽固定时,设球上升的高度为h1,由机械能守恒定律得
,解得
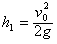
(2)槽不固定时,设球上升的最大高度为h2,此时两者速度相同而且方向水平,设为v,由动量守恒得mv0=(m+M)v
再由机械能守恒得
解得槽不固定时小球上升的高度
练习册系列答案
相关习题

科目:高中物理 来源: 题型:

如图所示,在光滑的水平面上停放着一辆平板车,在车上的左端放有一木块B.车左边紧邻一个固定在竖直面内、半径为R的
14
圆弧形光滑轨道,已知轨道底端的切线水平,且高度与车表面相平.现有另一木块A(木块A、B均可视为质点)从圆弧轨道的顶端由静止释放,然后滑行到车上与B发生碰撞.两木块碰撞后立即粘在一起在平板车上滑行,并与固定在平板车上的水平轻质弹簧作用后被弹回,最后两木块刚好回到车的最左端与车保持相对静止.已知木块A的质量为m,木块B的质量为2m,车的质量为3m,重力加速度为g,设木块A、B碰撞的时间极短可以忽略.求:
(1)木块A、B碰撞后的瞬间两木块共同运动速度的大小.
(2)木块A、B在车上滑行的整个过程中,木块和车组成的系统损失的机械能.
(3)弹簧在压缩过程中所具有的最大弹性势能.

查看答案和解析>>

科目:高中物理 来源: 题型:

如图所示,在光滑水平面上放着长为L,质理量为M的长木板,在长木板左端放一质量为m的物块(可视为质点),开始物体和长木板均处于静止状态,物块和长木板间的接触是粗糙的。今对物块m施一水平向右的恒力F,物块与木板分离时木板的速度为v。下列判断正确的是      
A.若只增大物块质量m,则相对滑动过程木板的加速度不变,但分离时速度v变大
B.若只增大物块质量m,则相对滑动过程木板的加速度增大,但分离时速度v变小    
C.若只增大恒力F,则相对滑动过程木板的加速度增大,分离时v也变大  
D.若只增大恒力F,则相对滑动过程木板的加速度不变,但分离时v变小

查看答案和解析>>

科目:高中物理 来源: 题型:

(15分)光滑水平面上放着质量为mA=1Ikg 的物块A与质量脚,mB=2kg的物块B, A 与B均可视为质点,A靠在竖直墙壁上,A、B间夹一个被压缩的轻弹簧(弹簧与A、B均不拴接),用手挡住B不动,此时弹簧弹性势能EP=49J。在A、B间系一轻质细绳,细绳长度大于弹簧的自然长度,如图一所示。放手后B向右运动,绳在短暂时间内被拉断,之后B冲上与水平面相切的竖直半圆光滑轨道,其半径R=0.5.m , B恰能到达最高点C。g=10m/s2。求

(1)绳拉断后瞬间B的速度vB的大小;
(2)绳拉断过程绳对B的冲量I

(3)绳拉断过程绳对A所做的功W

查看答案和解析>>

科目:高中物理 来源: 题型:阅读理解

第二部分  牛顿运动定律

第一讲 牛顿三定律

一、牛顿第一定律

1、定律。惯性的量度

2、观念意义,突破“初态困惑”

二、牛顿第二定律

1、定律

2、理解要点

a、矢量性

b、独立作用性:ΣF → a ,ΣFx → ax 

c、瞬时性。合力可突变,故加速度可突变(与之对比:速度和位移不可突变);牛顿第二定律展示了加速度的决定式(加速度的定义式仅仅展示了加速度的“测量手段”)。

3、适用条件

a、宏观、低速

b、惯性系

对于非惯性系的定律修正——引入惯性力、参与受力分析

三、牛顿第三定律

1、定律

2、理解要点

a、同性质(但不同物体)

b、等时效(同增同减)

c、无条件(与运动状态、空间选择无关)

第二讲 牛顿定律的应用

一、牛顿第一、第二定律的应用

单独应用牛顿第一定律的物理问题比较少,一般是需要用其解决物理问题中的某一个环节。

应用要点:合力为零时,物体靠惯性维持原有运动状态;只有物体有加速度时才需要合力。有质量的物体才有惯性。a可以突变而v、s不可突变。

1、如图1所示,在马达的驱动下,皮带运输机上方的皮带以恒定的速度向右运动。现将一工件(大小不计)在皮带左端A点轻轻放下,则在此后的过程中(      

A、一段时间内,工件将在滑动摩擦力作用下,对地做加速运动

B、当工件的速度等于v时,它与皮带之间的摩擦力变为静摩擦力

C、当工件相对皮带静止时,它位于皮带上A点右侧的某一点

D、工件在皮带上有可能不存在与皮带相对静止的状态

解说:B选项需要用到牛顿第一定律,A、C、D选项用到牛顿第二定律。

较难突破的是A选项,在为什么不会“立即跟上皮带”的问题上,建议使用反证法(t → 0 ,a →  ,则ΣFx   ,必然会出现“供不应求”的局面)和比较法(为什么人跳上速度不大的物体可以不发生相对滑动?因为人是可以形变、重心可以调节的特殊“物体”)

此外,本题的D选项还要用到匀变速运动规律。用匀变速运动规律和牛顿第二定律不难得出

只有当L > 时(其中μ为工件与皮带之间的动摩擦因素),才有相对静止的过程,否则没有。

答案:A、D

思考:令L = 10m ,v = 2 m/s ,μ= 0.2 ,g取10 m/s2 ,试求工件到达皮带右端的时间t(过程略,答案为5.5s)

进阶练习:在上面“思考”题中,将工件给予一水平向右的初速v0 ,其它条件不变,再求t(学生分以下三组进行)——

① v0 = 1m/s  (答:0.5 + 37/8 = 5.13s)

② v0 = 4m/s  (答:1.0 + 3.5 = 4.5s)

③ v0 = 1m/s  (答:1.55s)

2、质量均为m的两只钩码A和B,用轻弹簧和轻绳连接,然后挂在天花板上,如图2所示。试问:

① 如果在P处剪断细绳,在剪断瞬时,B的加速度是多少?

② 如果在Q处剪断弹簧,在剪断瞬时,B的加速度又是多少?

解说:第①问是常规处理。由于“弹簧不会立即发生形变”,故剪断瞬间弹簧弹力维持原值,所以此时B钩码的加速度为零(A的加速度则为2g)。

第②问需要我们反省这样一个问题:“弹簧不会立即发生形变”的原因是什么?是A、B两物的惯性,且速度v和位移s不能突变。但在Q点剪断弹簧时,弹簧却是没有惯性的(没有质量),遵从理想模型的条件,弹簧应在一瞬间恢复原长!即弹簧弹力突变为零。

答案:0 ;g 。

二、牛顿第二定律的应用

应用要点:受力较少时,直接应用牛顿第二定律的“矢量性”解题。受力比较多时,结合正交分解与“独立作用性”解题。

在难度方面,“瞬时性”问题相对较大。

1、滑块在固定、光滑、倾角为θ的斜面上下滑,试求其加速度。

解说:受力分析 → 根据“矢量性”定合力方向  牛顿第二定律应用

答案:gsinθ。

思考:如果斜面解除固定,上表仍光滑,倾角仍为θ,要求滑块与斜面相对静止,斜面应具备一个多大的水平加速度?(解题思路完全相同,研究对象仍为滑块。但在第二环节上应注意区别。答:gtgθ。)

进阶练习1:在一向右运动的车厢中,用细绳悬挂的小球呈现如图3所示的稳定状态,试求车厢的加速度。(和“思考”题同理,答:gtgθ。)

进阶练习2、如图4所示,小车在倾角为α的斜面上匀加速运动,车厢顶用细绳悬挂一小球,发现悬绳与竖直方向形成一个稳定的夹角β。试求小车的加速度。

解:继续贯彻“矢量性”的应用,但数学处理复杂了一些(正弦定理解三角形)。

分析小球受力后,根据“矢量性”我们可以做如图5所示的平行四边形,并找到相应的夹角。设张力T与斜面方向的夹角为θ,则

θ=(90°+ α)- β= 90°-(β-α)                 (1)

对灰色三角形用正弦定理,有

 =                                        (2)

解(1)(2)两式得:ΣF = 

最后运用牛顿第二定律即可求小球加速度(即小车加速度)

答: 。

2、如图6所示,光滑斜面倾角为θ,在水平地面上加速运动。斜面上用一条与斜面平行的细绳系一质量为m的小球,当斜面加速度为a时(a<ctgθ),小球能够保持相对斜面静止。试求此时绳子的张力T 。

解说:当力的个数较多,不能直接用平行四边形寻求合力时,宜用正交分解处理受力,在对应牛顿第二定律的“独立作用性”列方程。

正交坐标的选择,视解题方便程度而定。

解法一:先介绍一般的思路。沿加速度a方向建x轴,与a垂直的方向上建y轴,如图7所示(N为斜面支持力)。于是可得两方程

ΣFx = ma ,即Tx - Nx = ma

ΣFy = 0 , 即Ty + Ny = mg

代入方位角θ,以上两式成为

T cosθ-N sinθ = ma                       (1)

T sinθ + Ncosθ = mg                       (2)

这是一个关于T和N的方程组,解(1)(2)两式得:T = mgsinθ + ma cosθ

解法二:下面尝试一下能否独立地解张力T 。将正交分解的坐标选择为:x——斜面方向,y——和斜面垂直的方向。这时,在分解受力时,只分解重力G就行了,但值得注意,加速度a不在任何一个坐标轴上,是需要分解的。矢量分解后,如图8所示。

根据独立作用性原理,ΣFx = max

即:T - Gx = max

即:T - mg sinθ = m acosθ

显然,独立解T值是成功的。结果与解法一相同。

答案:mgsinθ + ma cosθ

思考:当a>ctgθ时,张力T的结果会变化吗?(从支持力的结果N = mgcosθ-ma sinθ看小球脱离斜面的条件,求脱离斜面后,θ条件已没有意义。答:T = m 。)

学生活动:用正交分解法解本节第2题“进阶练习2”

进阶练习:如图9所示,自动扶梯与地面的夹角为30°,但扶梯的台阶是水平的。当扶梯以a = 4m/s2的加速度向上运动时,站在扶梯上质量为60kg的人相对扶梯静止。重力加速度g = 10 m/s2,试求扶梯对人的静摩擦力f 。

解:这是一个展示独立作用性原理的经典例题,建议学生选择两种坐标(一种是沿a方向和垂直a方向,另一种是水平和竖直方向),对比解题过程,进而充分领会用牛顿第二定律解题的灵活性。

答:208N 。

3、如图10所示,甲图系着小球的是两根轻绳,乙图系着小球的是一根轻弹簧和轻绳,方位角θ已知。现将它们的水平绳剪断,试求:在剪断瞬间,两种情形下小球的瞬时加速度。

解说:第一步,阐明绳子弹力和弹簧弹力的区别。

(学生活动)思考:用竖直的绳和弹簧悬吊小球,并用竖直向下的力拉住小球静止,然后同时释放,会有什么现象?原因是什么?

结论——绳子的弹力可以突变而弹簧的弹力不能突变(胡克定律)。

第二步,在本例中,突破“绳子的拉力如何瞬时调节”这一难点(从即将开始的运动来反推)。

知识点,牛顿第二定律的瞬时性。

答案:a = gsinθ ;a = gtgθ 。

应用:如图11所示,吊篮P挂在天花板上,与吊篮质量相等的物体Q被固定在吊篮中的轻弹簧托住,当悬挂吊篮的细绳被烧断瞬间,P、Q的加速度分别是多少?

解:略。

答:2g ;0 。

三、牛顿第二、第三定律的应用

要点:在动力学问题中,如果遇到几个研究对象时,就会面临如何处理对象之间的力和对象与外界之间的力问题,这时有必要引进“系统”、“内力”和“外力”等概念,并适时地运用牛顿第三定律。

在方法的选择方面,则有“隔离法”和“整体法”。前者是根本,后者有局限,也有难度,但常常使解题过程简化,使过程的物理意义更加明晰。

对N个对象,有N个隔离方程和一个(可能的)整体方程,这(N + 1)个方程中必有一个是通解方程,如何取舍,视解题方便程度而定。

补充:当多个对象不具有共同的加速度时,一般来讲,整体法不可用,但也有一种特殊的“整体方程”,可以不受这个局限(可以介绍推导过程)——

Σ= m1 + m2 + m3 + … + mn

其中Σ只能是系统外力的矢量和,等式右边也是矢量相加。

1、如图12所示,光滑水平面上放着一个长为L的均质直棒,现给棒一个沿棒方向的、大小为F的水平恒力作用,则棒中各部位的张力T随图中x的关系怎样?

解说:截取隔离对象,列整体方程和隔离方程(隔离右段较好)。

答案:N = x 。

思考:如果水平面粗糙,结论又如何?

解:分两种情况,(1)能拉动;(2)不能拉动。

第(1)情况的计算和原题基本相同,只是多了一个摩擦力的处理,结论的化简也麻烦一些。

第(2)情况可设棒的总质量为M ,和水平面的摩擦因素为μ,而F = μMg ,其中l<L ,则x<(L-l)的右段没有张力,x>(L-l)的左端才有张力。

答:若棒仍能被拉动,结论不变。

若棒不能被拉动,且F = μMg时(μ为棒与平面的摩擦因素,l为小于L的某一值,M为棒的总质量),当x<(L-l),N≡0 ;当x>(L-l),N = 〔x -〈L-l〉〕。

应用:如图13所示,在倾角为θ的固定斜面上,叠放着两个长方体滑块,它们的质量分别为m1和m2 ,它们之间的摩擦因素、和斜面的摩擦因素分别为μ1和μ2 ,系统释放后能够一起加速下滑,则它们之间的摩擦力大小为:

A、μ1 m1gcosθ ;    B、μ2 m1gcosθ ;

C、μ1 m2gcosθ ;    D、μ1 m2gcosθ ;

解:略。

答:B 。(方向沿斜面向上。)

思考:(1)如果两滑块不是下滑,而是以初速度v0一起上冲,以上结论会变吗?(2)如果斜面光滑,两滑块之间有没有摩擦力?(3)如果将下面的滑块换成如图14所示的盒子,上面的滑块换成小球,它们以初速度v0一起上冲,球应对盒子的哪一侧内壁有压力?

解:略。

答:(1)不会;(2)没有;(3)若斜面光滑,对两内壁均无压力,若斜面粗糙,对斜面上方的内壁有压力。

2、如图15所示,三个物体质量分别为m1 、m2和m3 ,带滑轮的物体放在光滑水平面上,滑轮和所有接触面的摩擦均不计,绳子的质量也不计,为使三个物体无相对滑动,水平推力F应为多少?

解说:

此题对象虽然有三个,但难度不大。隔离m2 ,竖直方向有一个平衡方程;隔离m1 ,水平方向有一个动力学方程;整体有一个动力学方程。就足以解题了。

答案:F =  。

思考:若将质量为m3物体右边挖成凹形,让m2可以自由摆动(而不与m3相碰),如图16所示,其它条件不变。是否可以选择一个恰当的F′,使三者无相对运动?如果没有,说明理由;如果有,求出这个F′的值。

解:此时,m2的隔离方程将较为复杂。设绳子张力为T ,m2的受力情况如图,隔离方程为:

 = m2a

隔离m,仍有:T = m1a

解以上两式,可得:a = g

最后用整体法解F即可。

答:当m1 ≤ m2时,没有适应题意的F′;当m1 > m2时,适应题意的F′=  。

3、一根质量为M的木棒,上端用细绳系在天花板上,棒上有一质量为m的猫,如图17所示。现将系木棒的绳子剪断,同时猫相对棒往上爬,但要求猫对地的高度不变,则棒的加速度将是多少?

解说:法一,隔离法。需要设出猫爪抓棒的力f ,然后列猫的平衡方程和棒的动力学方程,解方程组即可。

法二,“新整体法”。

据Σ= m1 + m2 + m3 + … + mn ,猫和棒的系统外力只有两者的重力,竖直向下,而猫的加速度a1 = 0 ,所以:

( M + m )g = m·0 + M a1 

解棒的加速度a1十分容易。

答案:g 。

四、特殊的连接体

当系统中各个体的加速度不相等时,经典的整体法不可用。如果各个体的加速度不在一条直线上,“新整体法”也将有一定的困难(矢量求和不易)。此时,我们回到隔离法,且要更加注意找各参量之间的联系。

解题思想:抓某个方向上加速度关系。方法:“微元法”先看位移关系,再推加速度关系。、

1、如图18所示,一质量为M 、倾角为θ的光滑斜面,放置在光滑的水平面上,另一个质量为m的滑块从斜面顶端释放,试求斜面的加速度。

解说:本题涉及两个物体,它们的加速度关系复杂,但在垂直斜面方向上,大小是相等的。对两者列隔离方程时,务必在这个方向上进行突破。

(学生活动)定型判断斜面的运动情况、滑块的运动情况。

位移矢量示意图如图19所示。根据运动学规律,加速度矢量a1和a2也具有这样的关系。

(学生活动)这两个加速度矢量有什么关系?

沿斜面方向、垂直斜面方向建x 、y坐标,可得:

a1y = a2y             ①

且:a1y = a2sinθ     ②

隔离滑块和斜面,受力图如图20所示。

对滑块,列y方向隔离方程,有:

mgcosθ- N = ma1y     ③

对斜面,仍沿合加速度a2方向列方程,有:

Nsinθ= Ma2          ④

解①②③④式即可得a2 。

答案:a2 =  。

(学生活动)思考:如何求a1的值?

解:a1y已可以通过解上面的方程组求出;a1x只要看滑块的受力图,列x方向的隔离方程即可,显然有mgsinθ= ma1x ,得:a1x = gsinθ 。最后据a1 = 求a1 。

答:a1 =  。

2、如图21所示,与水平面成θ角的AB棒上有一滑套C ,可以无摩擦地在棒上滑动,开始时与棒的A端相距b ,相对棒静止。当棒保持倾角θ不变地沿水平面匀加速运动,加速度为a(且a>gtgθ)时,求滑套C从棒的A端滑出所经历的时间。

解说:这是一个比较特殊的“连接体问题”,寻求运动学参量的关系似乎比动力学分析更加重要。动力学方面,只需要隔离滑套C就行了。

(学生活动)思考:为什么题意要求a>gtgθ?(联系本讲第二节第1题之“思考题”)

定性绘出符合题意的运动过程图,如图22所示:S表示棒的位移,S1表示滑套的位移。沿棒与垂直棒建直角坐标后,S1x表示S1在x方向上的分量。不难看出:

S1x + b = S cosθ                   ①

设全程时间为t ,则有:

S = at2                          ②

S1x = a1xt2                        ③

而隔离滑套,受力图如图23所示,显然:

mgsinθ= ma1x                       ④

解①②③④式即可。

答案:t = 

另解:如果引进动力学在非惯性系中的修正式 Σ* = m (注:*为惯性力),此题极简单。过程如下——

以棒为参照,隔离滑套,分析受力,如图24所示。

注意,滑套相对棒的加速度a是沿棒向上的,故动力学方程为:

F*cosθ- mgsinθ= ma            (1)

其中F* = ma                      (2)

而且,以棒为参照,滑套的相对位移S就是b ,即:

b = S = a t2                 (3)

解(1)(2)(3)式就可以了。

第二讲 配套例题选讲

教材范本:龚霞玲主编《奥林匹克物理思维训练教材》,知识出版社,2002年8月第一版。

例题选讲针对“教材”第三章的部分例题和习题。

查看答案和解析>>

科目:高中物理 来源: 题型:

如图所示,在光滑水平面上放着长为L,质理量为M的长木板,在长木板左端放一质量为m的物块(可视为质点),开始物体和长木板均处于静止状态,物块和长木板间的接触是粗糙的.今对物块m施一水平向右的恒力F,物块与木板分离时木板的速度为.下列判断正确的是(    )

    A.若只增大物块质量m,则相对滑动过程木板加速度不变,但分离时速度v变大

    B.若只增大物块质量m,则相对滑动过程木板加速度增大,但分离时速度v变大

    C.若只增大恒力F,则相对滑动过程木板的加速度增大,分离时v也变大

D.若只增大恒力F,则相对滑动过程木板的加速度不变,但分离时v变小

查看答案和解析>>

同步练习册答案