ÀíÂÛÑо¿±íÃ÷£¬ÎïÌåÔÚµØÇò¸½½ü¶¼Êܵ½µØÇò¶ÔËüµÄÍòÓÐÒýÁ¦×÷Ó㬾ßÓÐÒýÁ¦ÊÆÄÜ£®Ñ¡ÎïÌåÔÚ¾àµØÇòÎÞÏÞÔ¶´¦µÄÒýÁ¦ÊÆÄÜΪÁ㣬ÔòÒýÁ¦ÊÆÄܿɱíʾΪEp=-£¨ÆäÖÐGΪÍòÓÐÒýÁ¦³£Á¿£¬MΪµØÇòÖÊÁ¿£¬mΪÎïÌåµÄÖÊÁ¿£¬rÊÇÎïÌåµ½µØÐĵľàÀ룩£®ÏÖÓÐÒ»ÖÊÁ¿m¡äµÄÈËÔìÎÀÐÇÈÆµØÇò×öÔ²ÖÜÔ˶¯ÖÜÆÚT£®ÈôÒª´ÓµØÃæÉϽ«Õâ¿ÅÎÀÐÇ·¢Éä³É¹¦£¬ÔòÖÁÉÙÐè×ö¶àÉÙ¹¦£¿£¨ÒÑÖªµØÇòÖÊÁ¿ÎªM£¬°ë¾¶ÎªR£¬ÍòÓÐÒýÁ¦³£Á¿ÎªG£¬ÇÒºöÂÔ¿ÕÆø×èÁ¦¶ÔÎÀÐÇ·¢ÉäµÄÓ°Ï죩
¡¾´ð°¸¡¿·ÖÎö£º¸ù¾ÝÍòÓÐÒýÁ¦µÈÓÚÏòÐÄÁ¦Çó³öÈËÔìÎÀÐǵĹìµÀ°ë¾¶£¬´Ó¶øµÃ³öÔÚ¹ìµÀÉϵ͝ÄܺÍÊÆÄÜÖ®ºÍ£¬¸ù¾ÝÄÜÁ¿Êغ㶨ÂÉÇó³öÖÁÉÙ×ö¹¦µÄ¶àÉÙ£®
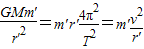
½â´ð£º½â£ºÉèÎÀÐÇÈÆµØÇò×öÔ²ÖÜÔ˶¯°ë¾¶r¡ä£¬Å£¶ÙµÚ¶þ¶¨Âɵãº
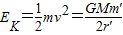
½âµÃ£¬£¬ÔÚr¡ä¹ìµÀÉÏÔ˶¯¾ßÓеĻúеÄÜΪ
µØÃæ·¢ÉäÐë×ö¹¦W=¡÷E=-£®
´ð£ºÈôÒª´ÓµØÃæÉϽ«Õâ¿ÅÎÀÐÇ·¢Éä³É¹¦£¬ÔòÖÁÉÙÐè×ö¹¦Îª-£®
µãÆÀ£º½â¾ö±¾ÌâµÄ¹Ø¼üÕÆÎÕÍòÓÐÒýÁ¦ÌṩÏòÐÄÁ¦ÕâÒ»ÀíÂÛ£¬ÒÔ¼°ÖªµÀÖÁÉÙ×ö¹¦µÄ¶àÉÙµÈÓÚ»úеÄܵÄÔöÁ¿£®
Á·Ï°²áϵÁдð°¸
Ïà¹ØÏ°Ìâ

¿ÆÄ¿£º¸ßÖÐÎïÀí À´Ô´£º ÌâÐÍ£º

ÀíÂÛÑо¿±íÃ÷£¬ÎïÌåÔÚµØÇò¸½½ü¶¼Êܵ½µØÇò¶ÔËüµÄÍòÓÐÒýÁ¦×÷Ó㬾ßÓÐÒýÁ¦ÊÆÄÜ£®Ñ¡ÎïÌåÔÚ¾àµØÇòÎÞÏÞÔ¶´¦µÄÒýÁ¦ÊÆÄÜΪÁ㣬ÔòÒýÁ¦ÊÆÄܿɱíʾΪEp=-
GMmr
£¨ÆäÖÐGΪÍòÓÐÒýÁ¦³£Á¿£¬MΪµØÇòÖÊÁ¿£¬mΪÎïÌåµÄÖÊÁ¿£¬rÊÇÎïÌåµ½µØÐĵľàÀ룩£®ÏÖÓÐÒ»ÖÊÁ¿m¡äµÄÈËÔìÎÀÐÇÈÆµØÇò×öÔ²ÖÜÔ˶¯ÖÜÆÚT£®ÈôÒª´ÓµØÃæÉϽ«Õâ¿ÅÎÀÐÇ·¢Éä³É¹¦£¬ÔòÖÁÉÙÐè×ö¶àÉÙ¹¦£¿£¨ÒÑÖªµØÇòÖÊÁ¿ÎªM£¬°ë¾¶ÎªR£¬ÍòÓÐÒýÁ¦³£Á¿ÎªG£¬ÇÒºöÂÔ¿ÕÆø×èÁ¦¶ÔÎÀÐÇ·¢ÉäµÄÓ°Ï죩

²é¿´´ð°¸ºÍ½âÎö>>

¿ÆÄ¿£º¸ßÖÐÎïÀí À´Ô´£º ÌâÐÍ£º

1957ÄêµÚÒ»¿ÅÈËÔìÎÀÐÇÉÏÌ죬¿ª±ÙÁËÈËÀàÓµÄÐÂʱ´ú£®ËÄÊ®¶àÄêÀ´£¬ÈËÀ಻½ö·¢ÉäÁËÈËÔìµØÇòÎÀÐÇ£¬»¹ÏòÓîÖæ¿Õ¼ä·¢ÉäÁ˶à¸ö¿Õ¼ä̽²âÆ÷£®¿Õ¼ä̽²âÆ÷Òª·ÉÏò»ðÐÇµÈÆäËüÐÐÐÇ£¬ÉõÖÁ·É³öÌ«Ñôϵ£¬Ê×ÏÈÒª¿Ë·þµØÇò¶ÔËüµÄÒýÁ¦µÄ×÷Óã®
ÀíÂÛÑо¿±íÃ÷£¬ÎïÌåÔÚµØÇò¸½½ü¶¼Êܵ½µØÇò¶ÔËüµÄÍòÓÐÒýÁ¦µÄ×÷Ó㬾ßÓÐÒýÁ¦ÊÆÄÜ£¬ÉèÎïÌåÔÚ¾àµØÇòÎÞÏÞÔ¶´¦µÄÒýÁ¦ÊÆÄÜΪÁ㣬ÔòÒýÁ¦ÊÆÄÜ¿ÉÒÔ±íʾΪE=-G=
Mmr
£¬ÆäÖÐGÊÇÍòÓÐÒýÁ¦³£Á¿£¬MÊǵØÇòµÄÖÊÁ¿£¬mÊÇÎïÌåµÄÖÊÁ¿£¬rÊÇÎïÌå¾àµØÐĵľàÀ룮
ÏÖÓÐÒ»¸ö¿Õ¼ä̽²âÆ÷Ëæ¿Õ¼äÕ¾Ò»ÆðÈÆµØÇò×öÔ²ÖÜÔ˶¯£¬ÔËÐÐÖÜÆÚΪT£¬ÒÑ֪̽²âÆ÷µÄÖÊÁ¿Îªm£¬µØÇò°ë¾¶ÎªR£¬µØÃ渽½üµÄÖØÁ¦¼ÓËÙ¶ÈΪg£®ÒªÊ¹Õâ¸ö¿Õ¼ä̽²âÆ÷´Ó¿Õ¼äÕ¾³ö·¢£¬ÍÑÀëµØÇòµÄÒýÁ¦×÷Óã¬ÖÁÉÙÒª¶ÔËü×÷¶àÉÙ¹¦£¿

²é¿´´ð°¸ºÍ½âÎö>>

¿ÆÄ¿£º¸ßÖÐÎïÀí À´Ô´£º ÌâÐÍ£º

ÀíÂÛÑо¿±íÃ÷£¬ÎïÌåÔÚµØÇò¸½½ü¶¼Êܵ½µØÇò¶ÔËüµÄÍòÓÐÒýÁ¦×÷Ó㬾ßÓÐÒýÁ¦ÊÆÄÜ¡£Ñ¡ÎïÌåÔÚ¾àµØÇòÎÞÏÞÔ¶´¦µÄÒýÁ¦ÊÆÄÜΪÁ㣬ÔòÒýÁ¦ÊÆÄܿɱíʾΪ£¨ÆäÖÐGΪÍòÓÐÒýÁ¦³£Á¿£¬MΪµØÇòÖÊÁ¿£¬mΪÎïÌåµÄÖÊÁ¿£¬rÊÇÎïÌåµ½µØÐĵľàÀ룩¡£ÏÖÓÐÒ»ÖÊÁ¿m¡äµÄÈËÔìÎÀÐÇÈÆµØÇò×öÔ²ÖÜÔ˶¯ÖÜÆÚT¡£ÒªÔÚµØÃæÉÏ·¢ÉäÕâ¿ÅÎÀÐÇ£¬ÖÁÉÙÐè×ö¶àÉÙ¹¦£¿£¨ÒÑÖªµØÇòÖÊÁ¿ÎªM£¬°ë¾¶ÎªR¡££©

²é¿´´ð°¸ºÍ½âÎö>>

¿ÆÄ¿£º¸ßÖÐÎïÀí À´Ô´£º2013½ìɽÎ÷ʡ̫ԭÎåÖиßÈý12ÔÂÔ¿¼ÎïÀíÊÔ¾í£¨´ø½âÎö£© ÌâÐÍ£º¼ÆËãÌâ

ÀíÂÛÑо¿±íÃ÷£¬ÎïÌåÔÚµØÇò¸½½ü¶¼Êܵ½µØÇò¶ÔËüµÄÍòÓÐÒýÁ¦×÷Ó㬾ßÓÐÒýÁ¦ÊÆÄÜ¡£Ñ¡ÎïÌåÔÚ¾àµØÇòÎÞÏÞÔ¶´¦µÄÒýÁ¦ÊÆÄÜΪÁ㣬ÔòÒýÁ¦ÊÆÄܿɱíʾΪEp= ¡ª£¨ÆäÖÐGΪÍòÓÐÒýÁ¦³£Á¿£¬MΪµØÇòÖÊÁ¿£¬mΪÎïÌåµÄÖÊÁ¿£¬rÊÇÎïÌåµ½µØÐĵľàÀ룩¡£ÏÖÓÐÒ»ÖÊÁ¿m/µÄÈËÔìÎÀÐÇÈÆµØÇò×öÔ²ÖÜÔ˶¯ÖÜÆÚT¡£ÈôÒª´ÓµØÃæÉϽ«Õâ¿ÅÎÀÐÇ·¢Éä³É¹¦£¬ÔòÖÁÉÙÐè×ö¶àÉÙ¹¦£¿£¨ÒÑÖªµØÇòÖÊÁ¿ÎªM£¬°ë¾¶ÎªR£¬ÍòÓÐÒýÁ¦³£Á¿ÎªG£¬ÇÒºöÂÔ¿ÕÆø×èÁ¦¶ÔÎÀÐÇ·¢ÉäµÄÓ°Ï죩

²é¿´´ð°¸ºÍ½âÎö>>

¿ÆÄ¿£º¸ßÖÐÎïÀí À´Ô´£º2012-2013ѧÄêɽÎ÷Ê¡¸ßÈý12ÔÂÔ¿¼ÎïÀíÊÔ¾í£¨½âÎö°æ£© ÌâÐÍ£º¼ÆËãÌâ

ÀíÂÛÑо¿±íÃ÷£¬ÎïÌåÔÚµØÇò¸½½ü¶¼Êܵ½µØÇò¶ÔËüµÄÍòÓÐÒýÁ¦×÷Ó㬾ßÓÐÒýÁ¦ÊÆÄÜ¡£Ñ¡ÎïÌåÔÚ¾àµØÇòÎÞÏÞÔ¶´¦µÄÒýÁ¦ÊÆÄÜΪÁ㣬ÔòÒýÁ¦ÊÆÄܿɱíʾΪEp= ¡ª£¨ÆäÖÐGΪÍòÓÐÒýÁ¦³£Á¿£¬MΪµØÇòÖÊÁ¿£¬mΪÎïÌåµÄÖÊÁ¿£¬rÊÇÎïÌåµ½µØÐĵľàÀ룩¡£ÏÖÓÐÒ»ÖÊÁ¿m/ µÄÈËÔìÎÀÐÇÈÆµØÇò×öÔ²ÖÜÔ˶¯ÖÜÆÚT¡£ÈôÒª´ÓµØÃæÉϽ«Õâ¿ÅÎÀÐÇ·¢Éä³É¹¦£¬ÔòÖÁÉÙÐè×ö¶àÉÙ¹¦£¿£¨ÒÑÖªµØÇòÖÊÁ¿ÎªM£¬°ë¾¶ÎªR£¬ÍòÓÐÒýÁ¦³£Á¿ÎªG£¬ÇÒºöÂÔ¿ÕÆø×èÁ¦¶ÔÎÀÐÇ·¢ÉäµÄÓ°Ï죩

 

 

²é¿´´ð°¸ºÍ½âÎö>>

ͬ²½Á·Ï°²á´ð°¸