精英家教网 > 高中物理 > 题目详情
光电计时器的实验简易示意图如下,当有不透光物体从光电门间通过时,光电计时器就可以显示物体的挡光时间,光滑水平导轨MN上放两相同小物块A、B,其宽度m,左端挡板处有一弹射装置P,右端N处与水平传送带理想连接,今将挡光效果好,宽度为d=m的两块黑色磁带分别贴在物块A和B上,且高出物块,并使高出物块部分在通过光电门时挡光。传送带水平部分长度L=8m,沿逆时针方向以恒定速度v=6m/s匀速传动。物块A、B与传送带间的动摩擦因数,质量mA=mB=1kg。开始时在A、B间压缩一轻弹簧,锁定其处于静止状态,现解除锁定,弹开A、B,迅速移去轻弹簧,两物块第一次通过光电门,计时器显示读数均为。取g=10 m/s2,试求:
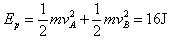
(1)弹簧储存的弹性势能Ep
(2)物块B沿传送带向右滑动的最大距离sm
(3)物块B滑回水平面MN的速度大小v′B
(4)若物体B返回水平面MN后与被弹射装置P弹回的A在水平面上相碰,且A、B碰后互换速度,则弹射装置P至少必须对A做多少功,才能在AB碰后使B刚好能从Q端滑出。并求此过程中,滑块B与传送带之间因摩擦产生的内能。
解:(1)解除锁定弹开AB后,AB两物体的速度大小:
弹簧储存的弹性势能:
(2)B滑上传送带匀减速运动,当速度减为零时,滑动的距离最远
由动能定理得:
得:
(3)物块B在传送带向左返回时,先匀加速运动,物块速度与传送带速度相同时一起匀速运动,设物块B加速到传送带速度v需要滑动的距离为

得:
表明物块B滑回水平面MN的速度没有达到传送带速度
所以:
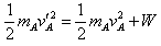
(4)设弹射装置对A做功为W,则:
AB碰后速度互换,B的速度:
B要刚好能滑出平台Q端,由能量关系有:

联立解得:

B滑过传送带过程,传送带移动的距离:
所求内能:
练习册系列答案
相关习题

科目:高中物理 来源: 题型:

(2011?南开区一模)光电计时器的实验简易示意图如下,当有不透光物体从光电门间通过时,光电计时器就可以显示物体的挡光时间,所用的西瓯XDS-007光电门传感器可测的最短时间为0.01ms.光滑水平导轨MN上放两相同小物块A、B,其宽度a=3.0×10-2m,左端挡板处有一弹射装置P,右端N处与水平传送带理想连接,今将挡光效果好,宽度为d=3.6×10-3m的两块黑色磁带分别贴在物块A和B上,且高出物块,并使高出物块部分在通过光电门时挡光.传送带水平部分长度L=8m,沿逆时针方向以恒定速度v=6m/s匀速传动.物块A、B与传送带间的动摩擦因数μ=0.2,质量mA=mB=1kg.开始时在A、B间压缩一轻弹簧,锁定其处于静止状态,现解除锁定,弹开A、B,迅速移去轻弹簧,两物块第一次通过光电门,计时器显示读数均为t=9.0×10-4s.取g=10m/s2,试求:
(1)弹簧储存的弹性势能EP
(2)物块B沿传送带向右滑动的最远距离sm
(3)物块B滑回水平面MN的速度大小v′B
(4)若物体B返回水平面MN后与被弹射装置P弹回的A在水平面上相碰,且A、B碰后互换速度,则弹射装置P至少必须对A做多少功,才能在AB碰后使B刚好能从Q端滑出.求此过程中,滑块B与传送带之间因摩擦产生的内能△E.

查看答案和解析>>

科目:高中物理 来源: 题型:

(08年江西两校联考)(17分)如图所示,为光电计时器的实验简易示意图,当有不透光物体从光电门间通过时,光电计时器就可以显示物体的挡光时间,实验中所选用的光电门传感器可测的最短时间为0.01ms.光滑水平导轨MN上放两个相同物块AB,其宽度a =3.0×10-2m,左端挡板处有一弹射装置P,右端N处与水平传送带平滑连接,今将挡光效果好,宽度为d =3.6×10m的两块黑色磁带分别贴在物块AB上,且高出物块,并使高出物块部分在通过光电门时挡光.传送带水平部分的长度L =8m,沿逆时针方向以恒定速度v =6m/s匀速传动.物块AB与传送带间的动摩擦因数,质量mA =mB =1kg.开始时在AB之间压缩一轻弹簧,锁定其处于静止状态,现解除锁定,弹开物块AB,迅速移去轻弹簧,两物块第一次通过光电门,计时器显示读数均为t =9.0×10-4s. g取10m/s2.试求:

(1)弹簧储存的弹性势能EP

(2)物块B沿传送带向右滑动的最远距离sm

(3)物块B滑回水平面MN的速度大小

(4)若物体B返回水平面MN后与被弹射装置P弹回的物块A在水平面上相碰,且AB碰后互换速度,则弹射装置P至少必须对物块A做多少功,才能在AB碰后使B刚好能从Q端滑出?此过程中,滑块B与传送带之间因摩擦产生的内能为多大?

查看答案和解析>>

科目:高中物理 来源: 题型:

光电计时器的实验简易示意图如下,当有不透光物体从光电门间通过时,光电计时器就可以显示物体的挡光时间。光滑水平导轨MN上放两相同小物块A、B,左端挡板处有一弹射装置P,右端N处与水平传送带理想连接,今将挡光效果好,宽度为d = 3.6×10-3m的两块黑色磁带分别贴在物块A和B上,且高出物块,并使高出物块部分在通过光电门时挡光.传送带水平部分长度L = 8m,沿逆时针方向以恒定速度v = 6m/s匀速传动.物块A、B与传送带间的动摩擦因数,质量mA = mB = 1kg.开始时在A、B间压缩一轻弹簧,锁定其处于静止状态,现解除锁定,弹开A、B,迅速移去轻弹簧,A物块第一次通过光电门,计时器显示读数为t = 9.0×10-4s.取g = 10m/s2,试求:

(1)弹簧储存的弹性势能EP;

(2)物块B沿传送带向右滑动的 最远距离sm;

(3)物块B滑回水平面MN的速度大小

(4)若物体B返回水平面MN后与被弹射装置P弹回的A在水平面上相碰,且A、B碰后互换速度,则弹射装置P至少必须对A做多少功,才能在AB碰后使B刚好能从Q端滑出;

(5)求在第(4)问的过程中滑块B与传送带之间因摩擦而产生的内能△E.

查看答案和解析>>

科目:高中物理 来源:2013届福建省安溪八中高三第一学段质量检测期中物理试卷(带解析) 题型:计算题

光电计时器的实验简易示意图如下,当有不透光物体从光电门间通过时,光电计时器就可以显示物体的挡光时间,光滑水平导轨MN上放两相同小物块A、B,右端N外与水平传送带理想连接,今将效果好、宽度为d=3.6×10-3m的两块黑色磁带分别贴在物块A和B上,且高出物块,并使高出物块部分在通过光电门时挡光。传送带水平部分长度L=8m,沿逆时针方向以恒定速度v=6m/s匀速传动。物块A、B与传送带间的动摩擦因数μ=0.2,质量mA= mB=1kg。开始时在A、B间压缩一轻弹簧P,锁定其处于静止状态,现解除锁定,弹开A、B,迅速移去轻弹簧,两物块第一次通过光电门,计时器显示读数均为t=9.0×10-4s。取g=10m/s2,试求:

(1)弹簧弹开前储存的弹性势能EP
(2)物块B沿传送带向右滑动的最远距离sm
(3)物块B在传送带上滑动的全过程中因摩擦产生的热量Q。

查看答案和解析>>

科目:高中物理 来源:2012届河南省洛阳市高二6月周练试卷物理试题 题型:计算题

如图所示,为光电计时器的实验简易示意图,当有不透光物体从光电门间通过时,光电计时器就可以显示物体的挡光时间,实验中所选用的光电门传感器可测的最短时间为0.01ms.光滑水平导轨MN上放两个相同物块A和B,其宽度a =3.0×10-2m,左端挡板处有一弹射装置P,右端N处与水平传送带平滑连接,今将挡光效果好,宽度为d =3.6×10-3m的两块黑色磁带分别贴在物块A和B上,且高出物块,并使高出物块部分在通过光电门时挡光.传送带水平部分的长度L =8m,沿逆时针方向以恒定速度v =6m/s匀速传动.物块A、B与传送带间的动摩擦因数,质量mA =mB =1kg.开始时在A和B之间压缩一轻弹簧,锁定其处于静止状态,现解除锁定,弹开物块A和B,迅速移去轻弹簧,两物块第一次通过光电门,计时器显示读数均为t =9.0×10-4s. g取10m/s2.试求:

(1)弹簧储存的弹性势能EP

(2)物块B沿传送带向右滑动的最远距离sm

(3)物块B滑回水平面MN的速度大小

(4)若物体B返回水平面MN后与被弹射装置P弹回的物块A在水平面上相碰,且A和B碰后互换速度,则弹射装置P至少必须对物块A做多少功,才能在AB碰后使B刚好能从Q端滑出?此过程中,滑块B与传送带之间因摩擦产生的内能为多大?

 

 

查看答案和解析>>

同步练习册答案