精英家教网 > 高中物理 > 题目详情

如图所示,相距2L的AB、CD两直线间的区域存在着两个大小不同、方向相反的有界匀强电场,其中PT上方的电场E1的场强方向竖直向下,PT下方的电场E0的场强方向竖直向上,在电场左边界AB上宽为L的PQ区域内,连续分布着电量为+q、质量为m的粒子。从某时刻起由Q到P点间的带电粒子,依次以相同的初速度v0沿水平方向垂直射入匀强电场E0中,若从Q点射入的粒子,通过PT上的某点R进入匀强电场E1后从CD边上的M点水平射出,其轨迹如图,若MT两点的距离为L/2。不计粒子的重力及它们间的相互作用。试求:

(1)电场强度E0与E1;

(2)在PQ间还有许多水平射入电场的粒子通过电场后也能垂直CD边水平射出,这些

入射点到P点的距离有什么规律?

(3)有一边长为a、由光滑绝缘壁围成的正方形容器,在其边界正中央开有一小孔S,

将其置于CD右侧,若从Q点射入的粒子经AB、CD间的电场从S孔水平射入容器

中。欲使粒子在容器中与器壁多次垂直碰撞后仍能从S孔射出(粒子与绝缘壁碰撞时

无能量和电量损失),并返回Q点,在容器中现加上一个如图所示的匀强磁场,粒

子运动的半径小于a,磁感应强度B的大小还应满足什么条件?


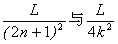
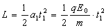
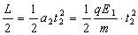
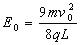
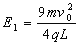
(1)  即。(2)在PQ间还有许多水平射入电场的粒子通过电场后也能垂直CD边水平射出,这些入射点到P点的距离为(n=1、2、3、…)(3)B2=,N=1、2、3….   解析: (1)设粒子经PT直线上的点R由E0电场进入E1电场,由Q到R及R到M点的时间分别为t1与t2,到达R时竖直速度为vy,则:

得:

   ① 

  ②  

   ③  

        ④   

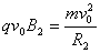
上述三式联立解得:  即

(2)(8分)由E1=2E0及③式可得t1=2t2。

因沿PT方向粒子做匀速运动,故P、R两点间的距离是R、T两点间距离的两倍。即粒子在E0电场做类平抛运动在PT方向的位移是在E1电场中的两倍。

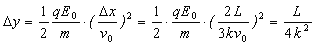
设PQ间到P点距离为△y的F处射出的粒子通过电场后也沿水平方向,若粒子第一次达PT直线用时△t,水平位移为△x,则

     

粒子在电场E1中可能做类平抛运动后垂直CD边射出电场,也可能做类斜抛运动后返

回E0电场,在E0电场中做类平抛运动垂直CD水平射出,或在E0电场中做类斜抛运动

再返回E1电场。

若粒子从E1电场垂直CD射出电场,则

      (n=0、1、2、3、……)

解之得: 

(n=0、1、2、3、……)

若粒子从E0电场垂直CD射出电场,则

 (k=1、2、3、……)    

  (k=1、2、3、……)

即PF间的距离为其中n=0、1、2、3、……,k=1、2、3、……

或          (n=1、2、3、……)          (2分)

解之得:

(n=1、2、3、……)                       (2分)

即PF间的距离为 (n = 1,2,3,……)      

(3)欲使粒子仍能从S孔处射出,粒子的运动轨迹可能是如图甲、乙所示的两种情况。

对图甲所示的情形,粒子运动的半径为R1,则  

            

解得:

对图乙所示的情形,粒子运动的半径为R2,则   

       

   

综合B1、B2得:

           

       

   

【思路点拨】(1)粒子在两电场中做类平抛运动,由图可得出粒子在两电场中的运动情况;分别沿电场方向和垂直电场方向列出物理规律,联立可解得电场强度的大小;(2)粒子进入电场做类平抛运动,根据运动的合成与分解,结合运动学公式,再由牛顿第二定律可求得磁感应强度;(3)粒子进入磁场时做圆周运动,由题意可知其运动的临界半径值,再由牛顿第二定律可求得磁感应强度.带电粒子在电场磁场中的运动要把握其运动规律,在电场中利用几何关系得出其沿电场.和垂直于电场的运动规律;而在磁场中也是要注意找出相应的几何关系,从而确定圆心和半径.

练习册系列答案
相关习题

科目:高中物理 来源: 题型:


如图所示,质量m1=0.3kg 的小车静止在光滑的水平面上,车长L=15m,现有质量m2=0.2kg可视为质点的物块,以水平向右的速度v0=2m/s从左端滑上小车,最后在车面上某处与小车保持相对静止.物块与车面间的动摩擦因数=0.5,取g=10m/s2.求

(1)物块在车面上滑行的时间t;

(2)要使物块不从小车右端滑出,物块滑上小车左端的速度v0′不超过多少.

查看答案和解析>>

科目:高中物理 来源: 题型:


如图,质量为m、带电量为+q的滑块,沿绝缘斜面匀速下滑,当滑块滑至竖直向下的匀强电场区时,滑块运动的状态为 (  )

 

A.

继续匀速下滑

B.

加速下滑

 

C.

减速下滑

D.

先加速下滑后减速下滑

查看答案和解析>>

科目:高中物理 来源: 题型:


如图所示,两平行的光滑金属导轨安装在一倾角为α的光滑绝缘斜面上,导轨间距为L,电阻忽略不计且足够长,一宽度为d的有界匀强磁场垂直于斜面向上,磁感应强度为B.另有一长为2d的绝缘杆将一导体棒和一边长为d(d<L)的正方形线框连在一起组成的固定装置,总质量为m,导体棒中通有大小恒为I的电流.将整个装置置于导轨上,开始时导体棒恰好位于磁场的下边界处.由静止释放后装置沿斜面向上运动,当线框的下边运动到磁场的上边界MN处时装置的速度恰好为零.重力加速度为g.

(1)求刚释放时装置的加速度大小;

(2)求这一过程中线框中产生的热量;

(3)在图b中定性地画出整个装置向上运动过程中的速度﹣时间(v﹣t)图象(不需要表示坐标);

(4)之后装置将向下运动,然后向上运动,经过若干次往返后,最终整个装置将在斜面上作稳定的往复运动.求稳定后装置运动的最高位置与最低位置之间的距离.

查看答案和解析>>

科目:高中物理 来源: 题型:


质量为的两物体,静止在光滑的水平面上,质量为的人站在上用恒力F拉绳子,经过一段时间后,两物体的速度大小分别为,位移分别为,如图所示。则这段时间内此人所做的功的大小等于( ▲ )

A.                      B.

C.    D.

查看答案和解析>>

科目:高中物理 来源: 题型:


平行板电容器的两极板A、B接于电池两极,一带正电小球悬挂在电容器内部.闭合开关S,电容器充电,这时悬线偏离竖直方向的夹角为θ,如图所示,则(  )     

A.保持开关S闭合,带正电的A板向B板靠近,则θ增大

B.保持开关S闭合,带正电的A板向B板靠近,则θ不变

C.开关S断开,带正电的A板向B板靠近,则θ增大

D.开关S断开,带正电的A板向B板靠近,则θ不变

查看答案和解析>>

科目:高中物理 来源: 题型:


用细线和带电小球做成的摆,把它放置在某匀强磁场中,如图所示。在带电小球摆动的过程中,连续两次经过最低点时,相同的物理量是(不计空气阻力)(  )

A.小球受到的洛伦兹力     B.摆线的张力

C.小球的速度              D.小球的动能

查看答案和解析>>

科目:高中物理 来源: 题型:


(1)(3分)某同学用如图1所示的装置测定重力加速度:实验中所用电源的频率为50Hz,实验中在纸带上连续打出点1、2、3、…、9,如图2所示,由纸带所示数据可算出实验时重物下落的加速度为     m/s2.(结果保留三位有效数字)

(2)(2分)(多选)下面是一些有关高中物理实验的描述,其中正确的是(    )

A.在“研究匀变速直线运动”实验中,不需要平衡摩擦力

B.在“验证机械能守恒定律”的实验中,必须用天平测物体的质量

C.在“验证力的平行四边形定则”实验中,只用一根弹簧秤无法完成

D.在用橡皮筋“探究功与速度变化的关系”的实验中不需要直接求出合外力做的功

E.在用欧姆表“×10”挡测量电阻时发现指针偏转角太小,应该换“×1”挡进行测量

查看答案和解析>>

科目:高中物理 来源: 题型:


如图所示,小车向右做匀加速直线运动的加速度大小为是固定在小车上的水平横杆,物块穿在杆上,通过细线悬吊着小铁球均相对小车静止,细线与竖直方向的夹角为。若小车的加速度逐渐增大到3时,仍与小车保持相对静止,则(     )

    A.细线与竖直方向的夹角增加到原来的3倍

    B.细线与竖直方向夹角的正弦值增加到原来的3倍

    C.细线的拉力增加到原来的3倍

    D.受到的摩擦力增加到原来的3倍

查看答案和解析>>

同步练习册答案