精英家教网 > 高中物理 > 题目详情

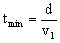
小船在静水中的航行速度为v1,若小船在水流速度为v2的小河中渡河,已知河的宽度为d,求船到达对岸所需的最短时间和通过的最小位移.【4】

练习册系列答案
相关习题

科目:高中物理 来源: 题型:

小船在宽200m,水速为2m/s的河中驶向对岸,已知小船在静水中的速度为4m/s,问:
(1)若船头始终垂直于河岸行驶,小船的实际速度和方向;
(2)若要小船横渡到正对岸,船的指向;
(3)在上述两次航行中,所用的时间分别是多少?

查看答案和解析>>

科目:高中物理 来源: 题型:021

如图所示,一条直河流,水速为v1,一小船在静水中的划行速率为v2.若该船在此河流中航行,要使船从一岸到另一岸所走的路程s最短,河宽用d表示,则有 [ ]

A.当v1v2时,sd

B.当v1v2时,sd

C.当v1v2时,sd

D.当v1v2时,s

 

查看答案和解析>>

科目:高中物理 来源:物理教研室 题型:021

如图所示,一条直河流,水速为v1,一小船在静水中的划行速率为v2.若该船在此河流中航行,要使船从一岸到另一岸所走的路程s最短,河宽用d表示,则有 [ ]

A.当v1v2时,sd

B.当v1v2时,sd

C.当v1v2时,sd

D.当v1v2时,s

 

查看答案和解析>>

科目:高中物理 来源:新编高中总复习优化训练(物理) 题型:021

如图所示,一条直河流,水速为,一小船在静水中的划行速率为,若这船在该河流中航行,要使船从一岸到另一岸路程s最短,河宽用d表示,则有

[  ]

A.当时,s=
B.当时,s=
C.当时,s=d
D.当时,s=

查看答案和解析>>

科目:高中物理 来源:2013届江苏省高一上学期期末考试物理试卷 题型:选择题

小船在水速较小的河中横渡,并使船头始终垂直河岸航行,到达河中间时突然上游来水使水流速度加快,小船在静水中速度保持不变,则对此小船渡河的说法正确的是------(       )

A.小船到达对岸的时间不变

B.小船到达对岸的位移将变大

C.因小船船头始终垂直河岸航行,故所用时间及位移都不会变化

 

查看答案和解析>>

同步练习册答案