精英家教网 > 高中物理 > 题目详情

如图所示,左侧装置内存在着匀强磁场和方向竖直向下的匀强电场,装置上下两极板问电势差为U,间距为L;右侧为“台形”匀强磁场区域ACDH,其中,AH//CD, =4L。一束电荷量大小为q、质量不等的带电粒子(不计重力、可视为质点),从狭缝S1射入左侧装置中恰能沿水平直线运动并从狭缝S2射出,接着粒子垂直于AH、由AH的中点M射入“台形”区域,最后全部从边界AC射出。若两个区域的磁场方向均水平(垂直于纸面向里)、磁感应强度大小均为B,“台形”宽度=L,忽略电场、磁场的边缘效应及粒子间的相互作用。

(1)判定这束粒子所带电荷的种类,并求出粒子速度的大小;

(2)求出这束粒子可能的质量最小值和最大值;

(3)求出(2)问中偏转角度最大的粒子在“台形”区域中运动的时间。

 

【答案】

(1)(2)(3)

【解析】

试题分析:(1)由于粒子在“台形”磁场中从边界AC射出,可知粒子带正电

由于粒子在左侧正交电磁场中沿直线通过,且洛伦兹力不做功,故粒子速率不变

故有:,而,所以

(2)在台形区域内,粒子匀速圆周运动,根据牛顿第二定律,有

由上式知:当粒子质量最小时,R最小,粒子运动轨迹恰好与AC相切,如图,

当粒子质量有最大值时,R最大,粒子运动轨迹恰好过C点,如图

根据几何关系有,所以

因为,所以是等边三角形,

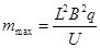
解得:

(3)粒子运动周期

粒子沿质量最小时的轨迹运动时对应圆心角最大,有

解得

考点:考查了带电粒子在复合场中的运动,在有界磁场中的运动

 

练习册系列答案
相关习题

科目:高中物理 来源: 题型:

用如图所示的实验装置观察光的薄膜干涉现象.图(a)是点燃酒精灯(在灯芯上洒些盐),图(b)是竖立的附着一层肥皂液薄膜的金属丝圈.下面说法正确的是(  )

查看答案和解析>>

科目:高中物理 来源: 题型:

(1)下图的游标卡尺的读数是
 
mm
精英家教网
(2)在研究弹簧的形变量与外力关系的实验中,精英家教网将弹簧水平放置测出其自然长度,然后竖直悬挂让其自然下垂,在其下端竖直向下施加外力尸,实验过程是在弹簧的弹性限度内进行的.用记录的外力F与弹簧的形变量x作出的F-x图象如图所示,由图可知弹簧的劲度系数为
 
N/m
(3)某实验小组用如图所示的实验装置来测量木板对物块的摩擦力所做的功.一物块放在粗糙的水平长木板上,右侧栓有一细线,跨过固定在木板边缘的滑轮与重锤连接,物块左侧与穿过打点计时器的纸带相连,长木板固定在水平实验台上,精英家教网
实验时,物块在重锤牵引下向右运重锤落地后,物块继续向右做勻减速运动.
①下图给出了重锤落地后打点计时器打出的纸带,纸带上的小黑点是计数点,每相邻两计数点间还有4个点(图中未标出),计数点间的距离已在图中标出,打点计时器所用交流电频率为50Hz,根据该图可以判断纸带的
 
(选填“左端”或“右端”)与物块相连.打点计时器在打下4点和B点时物块的速度分别为vA=
 
m/s,vB=
 
m/s (结果保留三位有效数字)
精英家教网
②一个电流计的满偏电流Ig=100μA,内阻为600Ω,要把它改装成一个量程为0.6A的电流表,则应在电流计上
 
(填串联或并联)一个约
 
Ω的电阻(保留一位有效数字)

查看答案和解析>>

科目:高中物理 来源: 题型:

精英家教网用如图所示的实验装置观察光的薄膜干涉现象.图中左侧是撒有食盐的酒精灯火焰,右侧是竖立的附着一层肥皂薄膜的金属丝圈,关于该实验,下列说法正确的是(  )
A、观察时应当在火焰的同侧面向薄膜观察火焰的像B、观察时应当在火焰的异侧透过薄膜观察火焰的像C、将金属丝圈在其所在的竖直平面内缓慢旋转90°,干涉条纹保持原形状不变D、将金属丝圈在其所在的竖直平面内缓慢旋转90°,干涉条纹也将同方向旋转90°

查看答案和解析>>

科目:高中物理 来源:2010-2011学年河南省卫辉市高三上学期第四次月考(理综)物理部分 题型:选择题

用如图所示的实验装置观察光的薄膜干涉现象。图中左侧是洒有食盐的酒精灯火焰,右侧是竖立的附着一层肥皂薄膜的金属丝圈,关于该实验,下列说法正确的是

    A.观察时应当在火焰的同侧面向薄膜观察火焰的象

    B.观察时应当在火焰的异侧透过薄膜观察火焰的象

    C.将金属丝圈在其所在的竖直平面内缓慢旋转90°,干涉条纹保持原形状不变

    D.将金属丝圈在其所在的竖直平面内缓慢旋转90°,  干涉条纹也将同方向旋转90° 

 

查看答案和解析>>

科目:高中物理 来源:2011年贵州省毕节地区黔西一中高考物理模拟试卷(二)(解析版) 题型:解答题

(1)下图的游标卡尺的读数是______mm

(2)在研究弹簧的形变量与外力关系的实验中,将弹簧水平放置测出其自然长度,然后竖直悬挂让其自然下垂,在其下端竖直向下施加外力尸,实验过程是在弹簧的弹性限度内进行的.用记录的外力F与弹簧的形变量x作出的F-x图象如图所示,由图可知弹簧的劲度系数为______N/m
(3)某实验小组用如图所示的实验装置来测量木板对物块的摩擦力所做的功.一物块放在粗糙的水平长木板上,右侧栓有一细线,跨过固定在木板边缘的滑轮与重锤连接,物块左侧与穿过打点计时器的纸带相连,长木板固定在水平实验台上,
实验时,物块在重锤牵引下向右运重锤落地后,物块继续向右做勻减速运动.
①下图给出了重锤落地后打点计时器打出的纸带,纸带上的小黑点是计数点,每相邻两计数点间还有4个点(图中未标出),计数点间的距离已在图中标出,打点计时器所用交流电频率为50Hz,根据该图可以判断纸带的______(选填“左端”或“右端”)与物块相连.打点计时器在打下4点和B点时物块的速度分别为vA=______m/s,vB=______m/s (结果保留三位有效数字)

②一个电流计的满偏电流Ig=100μA,内阻为600Ω,要把它改装成一个量程为0.6A的电流表,则应在电流计上______(填串联或并联)一个约______Ω的电阻(保留一位有效数字)

查看答案和解析>>

同步练习册答案